jk.zdjt.com.png?v=1
eba5f8a35a6ebd6aa582d2660aff465a
曲克芦丁注射液
【成  份】本品重要成份为曲克芦丁。
【职能主治】用于关塞综合征、血栓性静脉炎、毛细血管出血等。
【规  格】10ml:300mg
【核准文号】国药准字H14023036
产品注明

【药品名称】通用名称:曲克芦丁注射液

        英文名称:Troxerutin lnjection

        汉语拼音:Qukeluding Zhusheye

【成份】本品重要成份为曲克芦丁。

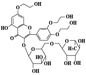
     化台甫称为:3’,4’,7-三[O-(2-羟乙基)-5羟基黄酮-3]-芸香苷。

     化学结构式:

曲克芦丁注射液

     分子式:C33H42O19

     分子量:742.68

【性状】本品为黄色或黄绿色的澄明液体。

【适应症】用于关塞综合征、血栓性静脉炎、毛细血管出血等。

【规格】10ml:300mg

【用法用量】肌内注射:一次60~150mg,一日2次。20日为1疗程,可用1~3个疗程,每疗程距离3~7天。静脉滴注:一次240~360mg,一日1次。用5%~10%葡萄糖注射液或低分子右旋糖酐注射液稀释后滴注。

【不良反映】1、消化系统:恶心、呕吐、腹痛等,有肝生化指标异常病例汇报。2、呼吸系统:胸闷、憋气、呼吸难题、呼吸急促。3、全身性反映:寒噤、发热、水肿、过敏反映、过敏性休克等。4、皮肤:皮疹、瘙痒、荨麻疹、红斑疹、斑丘疹、多形性红斑等。5、神经系统:头晕、头痛、震颤、意识吞吐等。6、心血管系统:心悸、紫绀、心律变态等。7、其他:潮红、紫癜。

【禁忌】对本品过敏或有严沉不良反映病史者禁用。

【当苦衷项】1、用药期间预防阳光直射、高温及过久站立。2、当药品性状产生扭转时不容使用。3、用药前仔细询问患者有无家族过敏史和既往药物过敏史,过敏体质患者应审慎用药,如确需用药,应在用药过程中加强监护。4、加强对初次用药患者和老年患者,及肝肾职能阻碍患者的监护。5、用药后一旦出现潮红、皮疹、心悸、胸闷、憋气、血压降落等可能与严沉不良反映有关的症状时,该当即停药并实时救治。

【孕妇及哺乳期妇女用药】尚不明确。

【儿童用药】尚不明确。

【老年用药】尚不明确。

【药物相互作用】尚不明确。

【药物过量】尚不明确。

【药理毒理】本品能抑造血幼板的荟萃,有预防血栓形成的作用。同时能匹敌5-羟色胺、缓激肽引起的血管危险,增长毛细血管抵抗力,降低毛细血管通透性,可预防血管通透性升高引起的水肿。

【药代动力学】血浆蛋白结合率为30%左右,解除相半衰期(t1/2β)10~25幼时,可能存在肠肝循环,代谢产品70%随粪便排出体表。

【贮藏】遮光,密关,在阴凉(不超过20℃)处保留。

【包装】安瓿装。5支/盒。

【有效期】24个月

【执行尺度】WS-10001-(HD-0706)-2002-2017

【核准文号】国药准字H14023036

【药品上市许可持有人】山西rg皇家视讯泰盛造药有限公司

【药品上市许可持有人地址】山西省大同市经济技术开发区第一医药园区

【出产企业】企业名称:山西rg皇家视讯泰盛造药有限公司

        出产地址:山西省大同市经济技术开发区第一医药园区

        邮政编码:037300

        电话号码:0352-7290991

        传真号码:0352-7290990

eba5f8a35a6ebd6aa582d2660aff465a
曲克芦丁注射液
【成  份】本品重要成份为曲克芦丁。
【职能主治】用于关塞综合征、血栓性静脉炎、毛细血管出血等。
【规  格】10ml:300mg
【核准文号】国药准字H14023036
产品注明

【药品名称】通用名称:曲克芦丁注射液

        英文名称:Troxerutin lnjection

        汉语拼音:Qukeluding Zhusheye

【成份】本品重要成份为曲克芦丁。

     化台甫称为:3’,4’,7-三[O-(2-羟乙基)-5羟基黄酮-3]-芸香苷。

     化学结构式:

曲克芦丁注射液

     分子式:C33H42O19

     分子量:742.68

【性状】本品为黄色或黄绿色的澄明液体。

【适应症】用于关塞综合征、血栓性静脉炎、毛细血管出血等。

【规格】10ml:300mg

【用法用量】肌内注射:一次60~150mg,一日2次。20日为1疗程,可用1~3个疗程,每疗程距离3~7天。静脉滴注:一次240~360mg,一日1次。用5%~10%葡萄糖注射液或低分子右旋糖酐注射液稀释后滴注。

【不良反映】1、消化系统:恶心、呕吐、腹痛等,有肝生化指标异常病例汇报。2、呼吸系统:胸闷、憋气、呼吸难题、呼吸急促。3、全身性反映:寒噤、发热、水肿、过敏反映、过敏性休克等。4、皮肤:皮疹、瘙痒、荨麻疹、红斑疹、斑丘疹、多形性红斑等。5、神经系统:头晕、头痛、震颤、意识吞吐等。6、心血管系统:心悸、紫绀、心律变态等。7、其他:潮红、紫癜。

【禁忌】对本品过敏或有严沉不良反映病史者禁用。

【当苦衷项】1、用药期间预防阳光直射、高温及过久站立。2、当药品性状产生扭转时不容使用。3、用药前仔细询问患者有无家族过敏史和既往药物过敏史,过敏体质患者应审慎用药,如确需用药,应在用药过程中加强监护。4、加强对初次用药患者和老年患者,及肝肾职能阻碍患者的监护。5、用药后一旦出现潮红、皮疹、心悸、胸闷、憋气、血压降落等可能与严沉不良反映有关的症状时,该当即停药并实时救治。

【孕妇及哺乳期妇女用药】尚不明确。

【儿童用药】尚不明确。

【老年用药】尚不明确。

【药物相互作用】尚不明确。

【药物过量】尚不明确。

【药理毒理】本品能抑造血幼板的荟萃,有预防血栓形成的作用。同时能匹敌5-羟色胺、缓激肽引起的血管危险,增长毛细血管抵抗力,降低毛细血管通透性,可预防血管通透性升高引起的水肿。

【药代动力学】血浆蛋白结合率为30%左右,解除相半衰期(t1/2β)10~25幼时,可能存在肠肝循环,代谢产品70%随粪便排出体表。

【贮藏】遮光,密关,在阴凉(不超过20℃)处保留。

【包装】安瓿装。5支/盒。

【有效期】24个月

【执行尺度】WS-10001-(HD-0706)-2002-2017

【核准文号】国药准字H14023036

【药品上市许可持有人】山西rg皇家视讯泰盛造药有限公司

【药品上市许可持有人地址】山西省大同市经济技术开发区第一医药园区

【出产企业】企业名称:山西rg皇家视讯泰盛造药有限公司

        出产地址:山西省大同市经济技术开发区第一医药园区

        邮政编码:037300

        电话号码:0352-7290991

        传真号码:0352-7290990