jk.zdjt.com.png?v=1
62c6624290c175c77cd601bae87d39d5
×¢ÉäÓð±ÜÐÎ÷ÁÖÄÆ
¡¾³É¡¡¡¡·Ý¡¿
¡¾Ö°ÄÜÖ÷ÖΡ¿ºÏÓÃÓÚÃô¸Ð¾úËùÖµĺôÎü·ϰȾ¡¢Î¸³¦Â·Ï°È¾¡¢Äò·ϰȾ¡¢Èí×é֯ϰȾ¡¢ÐÄÄÚĤÑס¢ÄÔĤÑס¢°ÜѪ֢µÈ¡£
¡¾¹æ¡¡¡¡¸ñ¡¿°´C16H19N3O4SÍÆËã0.5g
¡¾ºË×¼Îĺš¿¹úÒ©×¼×ÖH14020370
²úÆ·×¢Ã÷

¡¾Ò©Æ·Ãû³Æ¡¿Í¨ÓÃÃû³Æ£º×¢ÉäÓð±ÜÐÎ÷ÁÖÄÆ

        Ó¢ÎÄÃû³Æ£ºAmpicillin Sodium for Injection

        ººÓïÆ´Òô£ºZhusheyong Anbianxilinna

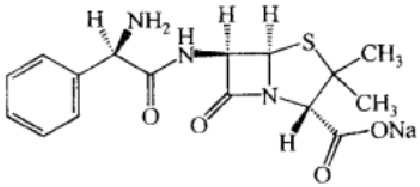
¡¾³É·Ý¡¿±¾Æ·ÖØÒª³É·ÝΪ°±ÜÐÎ÷ÁÖÄÆ¡£Æä»¯Ì¨¸¦³ÆÎª(2S£¬5R£¬6R)-3£¬3-¶þ¼×»ù-6-[(R)-2-°±»ù-2-±½ÒÒõ£°±»ù]-7-Ñõ´ú-4-ÁòÔÓ-1-µªÔÓË«»·¡¸3.2.0]¸ýÍé-2-¼×ËáÄÆÑΡ£

     Æä»¯Ñ§½á¹¹Ê½Îª£º

×¢ÉäÓð±ÜÐÎ÷ÁÖÄÆ

     ·Ö×Óʽ£ºC16H18N3NaO4S

     ·Ö×ÓÁ¿£º371.39

¡¾ÐÔ×´¡¿±¾Æ·Îª°×É«»òÀà°×É«µÄ·ÛÄ©»ò½á¾§ÐÔ·ÛÄ©¡£

¡¾ÊÊÓ¦Ö¢¡¿ºÏÓÃÓÚÃô¸Ð¾úËùÖµĺôÎü·ϰȾ¡¢Î¸³¦Â·Ï°È¾¡¢Äò·ϰȾ¡¢Èí×é֯ϰȾ¡¢ÐÄÄÚĤÑס¢ÄÔĤÑס¢°ÜѪ֢µÈ¡£

¡¾¹æ¸ñ¡¿°´C16H19N3O4SÍÆËã 0.5g

¡¾Ó÷¨ÓÃÁ¿¡¿³ÉÈË£º¼¡ÄÚ×¢ÉäÒ»ÈÕ2¡«4g£¬·Ö4´Î¸øÒ© £»¾²ÂöµÎ×¢»ò×¢Éä¼ÁÁ¿ÎªÒ»ÈÕ4¡«8g£¬·Ö2¡«4´Î¸øÒ©¡£³Á֢ϰȾ»¼ÕßÒ»ÈÕ¼ÁÁ¿Äܹ»Ôö³¤ÖÁ12g£¬Ò»ÈÕ×î¸ß¼ÁÁ¿Îª14g¡£¶ùͯ£º¼¡ÄÚ×¢ÉäÖðÈÕ°´Ìå³Á50¡«100mg/kg£¬·Ö4´Î¸øÒ© £»¾²ÂöµÎ×¢»ò×¢ÉäÖðÈÕ°´Ìå³Á100¡«200mg/kg£¬·Ö2¡«4´Î¸øÒ©¡£Ò»ÈÕ×î¸ß¼ÁÁ¿Îª°´Ìå³Á300mg/kg¡£×ãÔÂÐÂÉú¶ù£º°´Ìå³ÁÒ»´Î12.5¡«25mg/kg£¬µ®ÉúµÚ1¡¢2ÈÕÿ12Ó×ʱ1´Î£¬µÚÈýÈÕ¡«2ÖÜÿ8Ó×ʱ1´Î£¬ÒÔÀ´Ã¿6Ó×ʱ1´Î¡£Ôç²ú¶ù£ºµ®ÉúµÚÒ»ÖÜ¡¢1¡«4ÖܺÍ4ÖÜÒÔÉϰ´Ìå³Áÿ´Î12.5¡«50mg/kg£¬±ðÀëΪÿ12Ó×ʱ¡¢8Ó×ʱºÍ6Ó×ʱ1´Î£¬¾²ÂöµÎ×¢¸øÒ©¡£ÉöÖ°Äܲ»È«ÕߣºÄÚÉú¼¡ôû¶Ï¸ùÂÊΪ10¡«50ml/·ÖÖÓ»òÓ×ÓÚ10ml/·ÖÖÓʱ£¬¸øÒ©¼äÆÚÓ¦±ðÀëµ¢¸éÖÁ6~12Ó×ʱºÍ12~24Ó×ʱ¡£°±ÜÐÎ÷ÁÖÄÆÈÜҺŨ¶Å×ú¸ß£¬²»±äÐÔÓú²î¡£ÔÚ5¡æÊ±1%°±ÜÐÎ÷ÁÖÄÆÈÜÒºÄÜά³ÔìäÉúÎïЧ¼Û7Ì죬µ«5%µÄÈÜÒºÔòΪ24Ó×ʱ¡£Å¨¶ÈΪ30mg/mlµÄ°±ÜÐÎ÷ÁÖÄÆ¾²ÂöµÎ×¢ÒºÔÚÊÒθéÖÃ2Ò»8Ó×ʱÈÔÄÜÖÁÉÙά³Ôìä90%µÄЧ¼Û£¬¸éÖñùÏäÄÚÔò¿Éά³Ôìä90%µÄЧ¼ÛÖÁ72Ó×ʱ¡£²»±äÐÔ¿ÉÒòÆÏÌÑÌÇ¡¢¹ûÌǺÍÈéËáµÄ´æÔÚ¶ø½µµÍ£¬ÒàËæÎ¶ÈÉý¸ß¶ø½µµÍ¡£¹©¼¡ÄÚ×¢Éä¿É±ðÀëÈÜ»¯125mg¡¢500mgºÍ1g°±ÜÐÎ÷ÁÖÄÆÔÚ0.9¡«1.2ml¡¢1.2¡«1.8mlºÍ2.4¡«7.4mlÃð¾ú×¢ÉäÓÃË®ÖС£°±ÜÐÎ÷ÁÖÄÆ¾²ÂöµÎ×¢ÒºµÄŨ¶È²»Ò˳¬¹ý30mg/ml¡£

¡¾²»Á¼·´Ó³¡¿±¾Æ·²»Á¼·´Ó³ÓëÇàÃ¹ËØÏà·Â£¬ÒÔ¹ýÃô·´Ó³½ÏΪ³£¼û¡£Æ¤ÕîÊÇ×î³£¼ûµÄ·´Ó³£¬¶à²úÉúÓÚÓÃÒ©ºó5Ì죬³ÊÝ¡ÂéÕî»ò°ßÇðÕî £»Òà¿É²úÉú¼äÖÊÐÔÉöÑ× £»¹ýÃôÐÔÐÝ¿Ëż¼û£¬Ò»µ©²úÉú£¬±ØÐëµ±³¡¼±¾È£¬ÓèÒÔά³ÔìøÂ·Í¨Ë³¡¢ÎüÑõ¼°¸øÓÃÉöÉÏÏÙËØ¡¢ÌÇÆ¤Öʼ¤ËصÈÒ½ÖδëÊ©¡£Á£Ï¸°ûºÍѪÓ×°åÏ÷¼õż¼ûÓÚÀûÓð±ÜÐÎ÷ÁֵIJ¡ÈË¡£¿¹ÉúËØÓйØÐÔ³¦Ñ×ÉÙ¼û£¬ÉÙÊý²¡È˳öÏÖѪÇåת°±Ã¸Éý¸ß¡£´ó¼ÁÁ¿°±ÜÐÎ÷ÁÖ¾²Âö¸øÒ©¿É²úÉú³é´¤µÈÉñ¾­ÏµÍ³¶¾ÐÔÖ¢×´£¬Ó¤¶ùÀûÓð±ÜÐÎ÷ÁÖºó¿É³öÏÖ­ÄÚѹÔö¸ß£¬²û·¢ÎªÇ°Â±Â¡Æð¡£

¡¾½û¼É¡¿ÓÐÇàÃ¹ËØÀàÒ©Îï¹ýÃôÊ·»òÇàÃ¹ËØÆ¤·ôÊÔÑéÑôÐÔ»¼Õß½ûÓá£

¡¾µ±¿àÖÔÏî¡¿1¡¢ÀûÓñ¾Æ·Ç°Ðè¾ßÌåѯÎÊÒ©Îï¹ýÃôÊ·²¢½øÐÐÇàÃ¹ËØÆ¤·ôÊÔÑé¡£2¡¢´«È¾ÐÔµ¥ºËϸ°ûÔö¶àÖ¢¡¢´óÓ×°û²¡¶¾Ï°È¾¡¢ÁܰÍϸ°û°×Ѫ²¡¡¢ÁܰÍÁö»¼ÕßÀûÓñ¾Æ·Ê±ÒײúÉúƤÕÒËÔ¤·ÀʹÓá£3¡¢±¾Æ·ÐëÐÂÏÊÅäÔì¡£

¡¾Ôи¾ÖÖ¾²ÆäÆÚÖ«Å®ÓÃÒ©¡¿ÉÐÎÞ±¾Æ·ÔÚÔи¾ÀûÓõÄÑϸñ¶ÔÕÕÊÔÑ飬ËùÒÔÔи¾Ó¦½öÔÚÈ·ÓбØÒªÊ±Ê¹Óñ¾Æ·¡£ÉÙÁ¿±¾Æ·´ÓÈé֭ƽÅÅй£¬²¸ÈéÆÚ¸¾Å®ÓÃҩʱÒËÔÝÍ£²¸Èé¡£

¡¾¶ùͯÓÃÒ©¡¿Éв»Ã÷È·¡£

¡¾ÀÏÄêÓÃÒ©¡¿Éв»Ã÷È·¡£

¡¾Ò©ÎïÏ໥×÷Óá¿1¡¢Óë±û»ÇÊæºÏÓûᵢ¸é±¾Æ·µÄ°ëË¥ÆÚ¡£2¡¢°±ÜÐÎ÷ÁÖÓ뿨ÄÇÃ¹ËØ¶Ô´ó³¦°£Ï£¾ú¡¢±äÐθ˾úÓµÓÐЭͬ¿¹¾ú×÷Óá£3¡¢±¾Æ·Ò˵¥¶ÀµÎ×¢£¬²»³ÉÓëÏÂÁÐÒ©ÎïͬƿµÎ×¢£º°±»ùÌÇÜÕÀàÒ©Îï¡¢Á×Ëá¿ËÁÖÃ¹ËØ¡¢ÑÎËáÁÖ¿ÉÃ¹ËØ¡¢¶àÕ³¾úËØB¡¢çúçêÂÈÃ¹ËØ¡¢ºìÃ¹ËØ¡¢ÉöÉÏÏÙËØ¡¢¼äôǰ·¡¢¶à°Í°·¡¢°¢ÍÐÆ·¡¢ÆÏÌÑÌÇËá¸Æ¡¢Î¬ÉúËØB×塢άÉúËØC¡¢º¬Óа±»ùËáµÄÓªÑø×¢Éä¼ÁºÍçúçêËáÇ⻯¿ÉµÄËɵÈ¡£4¡¢±ðàÑ´¼¿Éʹ°±ÜÐÎ÷ÁÔì¤Õî·´Ó³²úÉúÂÊÔö³¤£¬ÓÈÆä¶à¼ûÓÚ¸ßÄòËáѪ֢¡£5¡¢°±ÜÐÎ÷ÁÖÄܴ̼¤´Æ¼¤ËØ´úл»òÏ÷¼õÆä¸Î³¦Ñ­»·£¬Òò¶ø¿É½µµÍ¿Ú·þ±ÜÔÐÒ©µÄ³ÉЧ¡£

¡¾Ò©Îï¹ýÁ¿¡¿Éв»Ã÷È·¡£

¡¾Ò©Àí¶¾Àí¡¿°±ÜÐÎ÷ÁÖÄÆÎª¹ãÆ×°ëºÏ³ÉÇàÃ¹ËØ¡£±¾Æ·¶ÔÈÜѪÐÔÁ´Çò¾ú¡¢·ÎÑ×Á´Çò¾úºÍ²»²úÇàÃ¹ËØÃ¸ÆÏÌÑÇò¾ú¾ß½ÏÇ¿¿¹¾ú×÷Óã¬ÓëÇàÃ¹ËØÏà·Â»òÉÔÑ·ÓÚÇàÃ¹ËØ¡£°±ÜÐÎ÷ÁÖ¶Ô²ÝÂÌÉ«Á´Çò¾úÒàÓÐÓÅÁ¼¿¹¾ú×÷Ó㬶Գ¦Çò¾úÊôºÍÀî˹µÂ¾úÊôµÄ×÷ÓÃÓÅÓÚÇàÃ¹ËØ¡£±¾Æ·¶Ô°×ºí°ô×´¸Ë¾ú¡¢Ì¿¾ÒÑ¿æß¸Ë¾ú¡¢·ÅÏß¾úÊô¡¢Á÷¸ÐÊÈѪ¸Ë¾ú¡¢°ÙÈտȱ«Ìظ˾ú¡¢ÄÎɪ¾úÊôÒÔ¼°³ý´àÈõÄâ¸Ë¾ú±íµÄÑáÑõ¾ú¾ù¾ß¿¹¾ú»îÐÔ£¬²¿·ÔìæÒì±äÐθ˾ú¡¢´ó³¦°£Ï£¾ú¡¢É³ÃžúÊôºÍÖ¾ºØ¾úÊôϸ¾ú¶Ô±¾Æ·Ãô¸Ð¡£°±ÜÐÎ÷ÁÖͨ¹ýÒÖÔìϸ¾úϸ°û±ÚºÏ³É²ûÑïɱ¾ú×÷Óá£

¡¾Ò©´ú¶¯Á¦Ñ§¡¿¼¡ÄÚ×¢É䱾Ʒ0.5g£¬ÑªÒ©·åŨ¶È£¨Cmax£©ÓÚ0.5¡«1Ó×ʱ´ïµ½£¬Îª12mg/L£¬6Ó×ʱѪҩŨ¶ÈΪ0.5mg/L¡£¾²Âö×¢Éä0.5gºó15·ÖÖÓºÍ4Ó×ʱµÄѪҩŨ¶È±ðÀëΪ17mg/LºÍ0.6mg/L¡£ÐÂÉú¶ùºÍÔç²ú¶ù°´Ìå³Á¼¡ÄÚ×¢Éä10mg/kgºÍ25mg/kgºó1Ó×ʱ£¬ÑªÒ©Å¨¶È´ï·åÖµ£¬±ðÀëΪ20mg/LºÍ60mg/L¡£Ôи¾ÑªÒ©Å¨¶ÈÏÔÖø½Ï·Ç»³Ì¥ÆÚΪµÍ¡£±¾Æ·ÌåÄÚÉ¢²¼ÓÅÁ¼£¬Ï¸¾úÐÔÄÔĤÑײ¡ÈËÖðÈÕ°´Ìå³Á¾²Âö×¢Éä150mg/kg£¬Ç°3ÌìÄÔ¼¹ÒºÖÐŨ¶È¿É2.9mg/L£¬ÒÔÀ´ËæÑ×Ö¢¼õÇá¶ø½µµÍ¡£Õý³£ÄÔ¼¹ÒºÖнöº¬ÉÙÁ¿°±ÜÐÎ÷ÁÖ¡£±¾Æ·¿É͸¹ýÌ¥ÅÌ·®À飬ÔÚÑòË®Öдﵽ¿Ï¶¨Å¨¶È¡£·Î²¿Ï°È¾²¡È˵ÄÖ§Æø¹ÜÅÅйҺÖÐŨ¶ÈΪͬÆÚѪҩŨ¶ÈµÄ1/50¡£Ðظ¹Ë®¡¢ÑÛ·¿Ë®¡¢¹Ø½ÚÇ»»ýÒº¡¢ÈéÖ­ÖнÔÓÐÏ൱Á¿µÄ±¾Æ·¡£É˺®´ø¾úÕßµ¨Ö­ÖÐŨ¶È¾ùÔÈΪѪҩŨ¶ÈµÄ3±¶¶à£¬×î¸ß¿É´ï17.8±¶¡£±¾Æ·ÑªÇåµ°°×½áºÏÂÊΪ20%£¬Ñª½â³ý°ëË¥ÆÚ(t1/2¦Â£©Îª1¡«1.5Ó×ʱ£¬ÐÂÉú¶ùt1/2¦ÂΪ1.7¡«4Ó×ʱ£¬ÉöÖ°Äܲ»È«»¼Õ߿ɵ¢¸éÖÁ7¡«20Ó×ʱ¡£¼¡ÄÚ×¢ÉäºÍ¾²Âö×¢Éäºó24Ó×ʱÄòÖÐÅųöµÄ°±ÜÐÎ÷ÁÖ±ðÀëΪ¸øÒ©Á¿µÄ50%ºÍ70%£¬ÉÙÁ¿ÔÚ¸ÎÔà´úлÃð»î»ò¾­µ¨Ö­Éø³ö¡£±¾Æ·¿ÉΪѪҺ͸Îö¶Ï¸ù£¬¶ø¸¹Ä¤Í¸Îö²»Äܶϵ××ÓÆ·¡£

¡¾Öü²Ø¡¿ÃܹØ£¬ÔÚ¸ÉÔï´¦£¨10¡«30¡æ£©±£Áô¡£

¡¾°ü×°¡¿Î÷ÁÔì¿×°¡£10Ö§/ºÐ¡£

¡¾ÓÐЧÆÚ¡¿24¸öÔÂ

¡¾Ö´Ðг߶ȡ¿¡¶ÖйúÒ©µä¡·2015Äê°æ¶þ²¿

¡¾ºË×¼Îĺš¿¹úÒ©×¼×ÖH14020370

¡¾³ö²úÆóÒµ¡¿ÆóÒµÃû³Æ£ºÉ½Î÷rg»Ê¼ÒÊÓѶ̩ʢÔìÒ©ÓÐÏÞ¹«Ë¾

        ³ö²úµØÖ·£ºÉ½Î÷Ê¡´óͬÊо­¼Ã¼¼Êõ¿ª·¢ÇøµÚÒ»Ò½Ò©Ô°Çø

        ÓÊÕþ±àÂ룺037300

        µç»°ºÅÂ룺0352¡ª7290991

        ´«ÕæºÅÂ룺0352¡ª7290990

62c6624290c175c77cd601bae87d39d5
×¢ÉäÓð±ÜÐÎ÷ÁÖÄÆ
¡¾³É¡¡¡¡·Ý¡¿
¡¾Ö°ÄÜÖ÷ÖΡ¿ºÏÓÃÓÚÃô¸Ð¾úËùÖµĺôÎü·ϰȾ¡¢Î¸³¦Â·Ï°È¾¡¢Äò·ϰȾ¡¢Èí×é֯ϰȾ¡¢ÐÄÄÚĤÑס¢ÄÔĤÑס¢°ÜѪ֢µÈ¡£
¡¾¹æ¡¡¡¡¸ñ¡¿°´C16H19N3O4SÍÆËã0.5g
¡¾ºË×¼Îĺš¿¹úÒ©×¼×ÖH14020370
²úÆ·×¢Ã÷

¡¾Ò©Æ·Ãû³Æ¡¿Í¨ÓÃÃû³Æ£º×¢ÉäÓð±ÜÐÎ÷ÁÖÄÆ

        Ó¢ÎÄÃû³Æ£ºAmpicillin Sodium for Injection

        ººÓïÆ´Òô£ºZhusheyong Anbianxilinna

¡¾³É·Ý¡¿±¾Æ·ÖØÒª³É·ÝΪ°±ÜÐÎ÷ÁÖÄÆ¡£Æä»¯Ì¨¸¦³ÆÎª(2S£¬5R£¬6R)-3£¬3-¶þ¼×»ù-6-[(R)-2-°±»ù-2-±½ÒÒõ£°±»ù]-7-Ñõ´ú-4-ÁòÔÓ-1-µªÔÓË«»·¡¸3.2.0]¸ýÍé-2-¼×ËáÄÆÑΡ£

     Æä»¯Ñ§½á¹¹Ê½Îª£º

×¢ÉäÓð±ÜÐÎ÷ÁÖÄÆ

     ·Ö×Óʽ£ºC16H18N3NaO4S

     ·Ö×ÓÁ¿£º371.39

¡¾ÐÔ×´¡¿±¾Æ·Îª°×É«»òÀà°×É«µÄ·ÛÄ©»ò½á¾§ÐÔ·ÛÄ©¡£

¡¾ÊÊÓ¦Ö¢¡¿ºÏÓÃÓÚÃô¸Ð¾úËùÖµĺôÎü·ϰȾ¡¢Î¸³¦Â·Ï°È¾¡¢Äò·ϰȾ¡¢Èí×é֯ϰȾ¡¢ÐÄÄÚĤÑס¢ÄÔĤÑס¢°ÜѪ֢µÈ¡£

¡¾¹æ¸ñ¡¿°´C16H19N3O4SÍÆËã 0.5g

¡¾Ó÷¨ÓÃÁ¿¡¿³ÉÈË£º¼¡ÄÚ×¢ÉäÒ»ÈÕ2¡«4g£¬·Ö4´Î¸øÒ© £»¾²ÂöµÎ×¢»ò×¢Éä¼ÁÁ¿ÎªÒ»ÈÕ4¡«8g£¬·Ö2¡«4´Î¸øÒ©¡£³Á֢ϰȾ»¼ÕßÒ»ÈÕ¼ÁÁ¿Äܹ»Ôö³¤ÖÁ12g£¬Ò»ÈÕ×î¸ß¼ÁÁ¿Îª14g¡£¶ùͯ£º¼¡ÄÚ×¢ÉäÖðÈÕ°´Ìå³Á50¡«100mg/kg£¬·Ö4´Î¸øÒ© £»¾²ÂöµÎ×¢»ò×¢ÉäÖðÈÕ°´Ìå³Á100¡«200mg/kg£¬·Ö2¡«4´Î¸øÒ©¡£Ò»ÈÕ×î¸ß¼ÁÁ¿Îª°´Ìå³Á300mg/kg¡£×ãÔÂÐÂÉú¶ù£º°´Ìå³ÁÒ»´Î12.5¡«25mg/kg£¬µ®ÉúµÚ1¡¢2ÈÕÿ12Ó×ʱ1´Î£¬µÚÈýÈÕ¡«2ÖÜÿ8Ó×ʱ1´Î£¬ÒÔÀ´Ã¿6Ó×ʱ1´Î¡£Ôç²ú¶ù£ºµ®ÉúµÚÒ»ÖÜ¡¢1¡«4ÖܺÍ4ÖÜÒÔÉϰ´Ìå³Áÿ´Î12.5¡«50mg/kg£¬±ðÀëΪÿ12Ó×ʱ¡¢8Ó×ʱºÍ6Ó×ʱ1´Î£¬¾²ÂöµÎ×¢¸øÒ©¡£ÉöÖ°Äܲ»È«ÕߣºÄÚÉú¼¡ôû¶Ï¸ùÂÊΪ10¡«50ml/·ÖÖÓ»òÓ×ÓÚ10ml/·ÖÖÓʱ£¬¸øÒ©¼äÆÚÓ¦±ðÀëµ¢¸éÖÁ6~12Ó×ʱºÍ12~24Ó×ʱ¡£°±ÜÐÎ÷ÁÖÄÆÈÜҺŨ¶Å×ú¸ß£¬²»±äÐÔÓú²î¡£ÔÚ5¡æÊ±1%°±ÜÐÎ÷ÁÖÄÆÈÜÒºÄÜά³ÔìäÉúÎïЧ¼Û7Ì죬µ«5%µÄÈÜÒºÔòΪ24Ó×ʱ¡£Å¨¶ÈΪ30mg/mlµÄ°±ÜÐÎ÷ÁÖÄÆ¾²ÂöµÎ×¢ÒºÔÚÊÒθéÖÃ2Ò»8Ó×ʱÈÔÄÜÖÁÉÙά³Ôìä90%µÄЧ¼Û£¬¸éÖñùÏäÄÚÔò¿Éά³Ôìä90%µÄЧ¼ÛÖÁ72Ó×ʱ¡£²»±äÐÔ¿ÉÒòÆÏÌÑÌÇ¡¢¹ûÌǺÍÈéËáµÄ´æÔÚ¶ø½µµÍ£¬ÒàËæÎ¶ÈÉý¸ß¶ø½µµÍ¡£¹©¼¡ÄÚ×¢Éä¿É±ðÀëÈÜ»¯125mg¡¢500mgºÍ1g°±ÜÐÎ÷ÁÖÄÆÔÚ0.9¡«1.2ml¡¢1.2¡«1.8mlºÍ2.4¡«7.4mlÃð¾ú×¢ÉäÓÃË®ÖС£°±ÜÐÎ÷ÁÖÄÆ¾²ÂöµÎ×¢ÒºµÄŨ¶È²»Ò˳¬¹ý30mg/ml¡£

¡¾²»Á¼·´Ó³¡¿±¾Æ·²»Á¼·´Ó³ÓëÇàÃ¹ËØÏà·Â£¬ÒÔ¹ýÃô·´Ó³½ÏΪ³£¼û¡£Æ¤ÕîÊÇ×î³£¼ûµÄ·´Ó³£¬¶à²úÉúÓÚÓÃÒ©ºó5Ì죬³ÊÝ¡ÂéÕî»ò°ßÇðÕî £»Òà¿É²úÉú¼äÖÊÐÔÉöÑ× £»¹ýÃôÐÔÐÝ¿Ëż¼û£¬Ò»µ©²úÉú£¬±ØÐëµ±³¡¼±¾È£¬ÓèÒÔά³ÔìøÂ·Í¨Ë³¡¢ÎüÑõ¼°¸øÓÃÉöÉÏÏÙËØ¡¢ÌÇÆ¤Öʼ¤ËصÈÒ½ÖδëÊ©¡£Á£Ï¸°ûºÍѪÓ×°åÏ÷¼õż¼ûÓÚÀûÓð±ÜÐÎ÷ÁֵIJ¡ÈË¡£¿¹ÉúËØÓйØÐÔ³¦Ñ×ÉÙ¼û£¬ÉÙÊý²¡È˳öÏÖѪÇåת°±Ã¸Éý¸ß¡£´ó¼ÁÁ¿°±ÜÐÎ÷ÁÖ¾²Âö¸øÒ©¿É²úÉú³é´¤µÈÉñ¾­ÏµÍ³¶¾ÐÔÖ¢×´£¬Ó¤¶ùÀûÓð±ÜÐÎ÷ÁÖºó¿É³öÏÖ­ÄÚѹÔö¸ß£¬²û·¢ÎªÇ°Â±Â¡Æð¡£

¡¾½û¼É¡¿ÓÐÇàÃ¹ËØÀàÒ©Îï¹ýÃôÊ·»òÇàÃ¹ËØÆ¤·ôÊÔÑéÑôÐÔ»¼Õß½ûÓá£

¡¾µ±¿àÖÔÏî¡¿1¡¢ÀûÓñ¾Æ·Ç°Ðè¾ßÌåѯÎÊÒ©Îï¹ýÃôÊ·²¢½øÐÐÇàÃ¹ËØÆ¤·ôÊÔÑé¡£2¡¢´«È¾ÐÔµ¥ºËϸ°ûÔö¶àÖ¢¡¢´óÓ×°û²¡¶¾Ï°È¾¡¢ÁܰÍϸ°û°×Ѫ²¡¡¢ÁܰÍÁö»¼ÕßÀûÓñ¾Æ·Ê±ÒײúÉúƤÕÒËÔ¤·ÀʹÓá£3¡¢±¾Æ·ÐëÐÂÏÊÅäÔì¡£

¡¾Ôи¾ÖÖ¾²ÆäÆÚÖ«Å®ÓÃÒ©¡¿ÉÐÎÞ±¾Æ·ÔÚÔи¾ÀûÓõÄÑϸñ¶ÔÕÕÊÔÑ飬ËùÒÔÔи¾Ó¦½öÔÚÈ·ÓбØÒªÊ±Ê¹Óñ¾Æ·¡£ÉÙÁ¿±¾Æ·´ÓÈé֭ƽÅÅй£¬²¸ÈéÆÚ¸¾Å®ÓÃҩʱÒËÔÝÍ£²¸Èé¡£

¡¾¶ùͯÓÃÒ©¡¿Éв»Ã÷È·¡£

¡¾ÀÏÄêÓÃÒ©¡¿Éв»Ã÷È·¡£

¡¾Ò©ÎïÏ໥×÷Óá¿1¡¢Óë±û»ÇÊæºÏÓûᵢ¸é±¾Æ·µÄ°ëË¥ÆÚ¡£2¡¢°±ÜÐÎ÷ÁÖÓ뿨ÄÇÃ¹ËØ¶Ô´ó³¦°£Ï£¾ú¡¢±äÐθ˾úÓµÓÐЭͬ¿¹¾ú×÷Óá£3¡¢±¾Æ·Ò˵¥¶ÀµÎ×¢£¬²»³ÉÓëÏÂÁÐÒ©ÎïͬƿµÎ×¢£º°±»ùÌÇÜÕÀàÒ©Îï¡¢Á×Ëá¿ËÁÖÃ¹ËØ¡¢ÑÎËáÁÖ¿ÉÃ¹ËØ¡¢¶àÕ³¾úËØB¡¢çúçêÂÈÃ¹ËØ¡¢ºìÃ¹ËØ¡¢ÉöÉÏÏÙËØ¡¢¼äôǰ·¡¢¶à°Í°·¡¢°¢ÍÐÆ·¡¢ÆÏÌÑÌÇËá¸Æ¡¢Î¬ÉúËØB×塢άÉúËØC¡¢º¬Óа±»ùËáµÄÓªÑø×¢Éä¼ÁºÍçúçêËáÇ⻯¿ÉµÄËɵÈ¡£4¡¢±ðàÑ´¼¿Éʹ°±ÜÐÎ÷ÁÔì¤Õî·´Ó³²úÉúÂÊÔö³¤£¬ÓÈÆä¶à¼ûÓÚ¸ßÄòËáѪ֢¡£5¡¢°±ÜÐÎ÷ÁÖÄܴ̼¤´Æ¼¤ËØ´úл»òÏ÷¼õÆä¸Î³¦Ñ­»·£¬Òò¶ø¿É½µµÍ¿Ú·þ±ÜÔÐÒ©µÄ³ÉЧ¡£

¡¾Ò©Îï¹ýÁ¿¡¿Éв»Ã÷È·¡£

¡¾Ò©Àí¶¾Àí¡¿°±ÜÐÎ÷ÁÖÄÆÎª¹ãÆ×°ëºÏ³ÉÇàÃ¹ËØ¡£±¾Æ·¶ÔÈÜѪÐÔÁ´Çò¾ú¡¢·ÎÑ×Á´Çò¾úºÍ²»²úÇàÃ¹ËØÃ¸ÆÏÌÑÇò¾ú¾ß½ÏÇ¿¿¹¾ú×÷Óã¬ÓëÇàÃ¹ËØÏà·Â»òÉÔÑ·ÓÚÇàÃ¹ËØ¡£°±ÜÐÎ÷ÁÖ¶Ô²ÝÂÌÉ«Á´Çò¾úÒàÓÐÓÅÁ¼¿¹¾ú×÷Ó㬶Գ¦Çò¾úÊôºÍÀî˹µÂ¾úÊôµÄ×÷ÓÃÓÅÓÚÇàÃ¹ËØ¡£±¾Æ·¶Ô°×ºí°ô×´¸Ë¾ú¡¢Ì¿¾ÒÑ¿æß¸Ë¾ú¡¢·ÅÏß¾úÊô¡¢Á÷¸ÐÊÈѪ¸Ë¾ú¡¢°ÙÈտȱ«Ìظ˾ú¡¢ÄÎɪ¾úÊôÒÔ¼°³ý´àÈõÄâ¸Ë¾ú±íµÄÑáÑõ¾ú¾ù¾ß¿¹¾ú»îÐÔ£¬²¿·ÔìæÒì±äÐθ˾ú¡¢´ó³¦°£Ï£¾ú¡¢É³ÃžúÊôºÍÖ¾ºØ¾úÊôϸ¾ú¶Ô±¾Æ·Ãô¸Ð¡£°±ÜÐÎ÷ÁÖͨ¹ýÒÖÔìϸ¾úϸ°û±ÚºÏ³É²ûÑïɱ¾ú×÷Óá£

¡¾Ò©´ú¶¯Á¦Ñ§¡¿¼¡ÄÚ×¢É䱾Ʒ0.5g£¬ÑªÒ©·åŨ¶È£¨Cmax£©ÓÚ0.5¡«1Ó×ʱ´ïµ½£¬Îª12mg/L£¬6Ó×ʱѪҩŨ¶ÈΪ0.5mg/L¡£¾²Âö×¢Éä0.5gºó15·ÖÖÓºÍ4Ó×ʱµÄѪҩŨ¶È±ðÀëΪ17mg/LºÍ0.6mg/L¡£ÐÂÉú¶ùºÍÔç²ú¶ù°´Ìå³Á¼¡ÄÚ×¢Éä10mg/kgºÍ25mg/kgºó1Ó×ʱ£¬ÑªÒ©Å¨¶È´ï·åÖµ£¬±ðÀëΪ20mg/LºÍ60mg/L¡£Ôи¾ÑªÒ©Å¨¶ÈÏÔÖø½Ï·Ç»³Ì¥ÆÚΪµÍ¡£±¾Æ·ÌåÄÚÉ¢²¼ÓÅÁ¼£¬Ï¸¾úÐÔÄÔĤÑײ¡ÈËÖðÈÕ°´Ìå³Á¾²Âö×¢Éä150mg/kg£¬Ç°3ÌìÄÔ¼¹ÒºÖÐŨ¶È¿É2.9mg/L£¬ÒÔÀ´ËæÑ×Ö¢¼õÇá¶ø½µµÍ¡£Õý³£ÄÔ¼¹ÒºÖнöº¬ÉÙÁ¿°±ÜÐÎ÷ÁÖ¡£±¾Æ·¿É͸¹ýÌ¥ÅÌ·®À飬ÔÚÑòË®Öдﵽ¿Ï¶¨Å¨¶È¡£·Î²¿Ï°È¾²¡È˵ÄÖ§Æø¹ÜÅÅйҺÖÐŨ¶ÈΪͬÆÚѪҩŨ¶ÈµÄ1/50¡£Ðظ¹Ë®¡¢ÑÛ·¿Ë®¡¢¹Ø½ÚÇ»»ýÒº¡¢ÈéÖ­ÖнÔÓÐÏ൱Á¿µÄ±¾Æ·¡£É˺®´ø¾úÕßµ¨Ö­ÖÐŨ¶È¾ùÔÈΪѪҩŨ¶ÈµÄ3±¶¶à£¬×î¸ß¿É´ï17.8±¶¡£±¾Æ·ÑªÇåµ°°×½áºÏÂÊΪ20%£¬Ñª½â³ý°ëË¥ÆÚ(t1/2¦Â£©Îª1¡«1.5Ó×ʱ£¬ÐÂÉú¶ùt1/2¦ÂΪ1.7¡«4Ó×ʱ£¬ÉöÖ°Äܲ»È«»¼Õ߿ɵ¢¸éÖÁ7¡«20Ó×ʱ¡£¼¡ÄÚ×¢ÉäºÍ¾²Âö×¢Éäºó24Ó×ʱÄòÖÐÅųöµÄ°±ÜÐÎ÷ÁÖ±ðÀëΪ¸øÒ©Á¿µÄ50%ºÍ70%£¬ÉÙÁ¿ÔÚ¸ÎÔà´úлÃð»î»ò¾­µ¨Ö­Éø³ö¡£±¾Æ·¿ÉΪѪҺ͸Îö¶Ï¸ù£¬¶ø¸¹Ä¤Í¸Îö²»Äܶϵ××ÓÆ·¡£

¡¾Öü²Ø¡¿ÃܹØ£¬ÔÚ¸ÉÔï´¦£¨10¡«30¡æ£©±£Áô¡£

¡¾°ü×°¡¿Î÷ÁÔì¿×°¡£10Ö§/ºÐ¡£

¡¾ÓÐЧÆÚ¡¿24¸öÔÂ

¡¾Ö´Ðг߶ȡ¿¡¶ÖйúÒ©µä¡·2015Äê°æ¶þ²¿

¡¾ºË×¼Îĺš¿¹úÒ©×¼×ÖH14020370

¡¾³ö²úÆóÒµ¡¿ÆóÒµÃû³Æ£ºÉ½Î÷rg»Ê¼ÒÊÓѶ̩ʢÔìÒ©ÓÐÏÞ¹«Ë¾

        ³ö²úµØÖ·£ºÉ½Î÷Ê¡´óͬÊо­¼Ã¼¼Êõ¿ª·¢ÇøµÚÒ»Ò½Ò©Ô°Çø

        ÓÊÕþ±àÂ룺037300

        µç»°ºÅÂ룺0352¡ª7290991

        ´«ÕæºÅÂ룺0352¡ª7290990