jk.zdjt.com.png?v=1
5fa1fef3005488fdd4802466f0ed3ac2
注射用苯唑西林钠
【成  份】本品重要成份:苯唑西林钠 。
【职能主治】本品仅合用于医治产青霉素酶葡萄球菌习染,蕴含败血症、心内膜炎、肺炎和皮肤、软组织习染等 。也可用于化脓性链球菌或肺炎球菌与耐青霉素葡萄球菌所致的混合习染 。
【规  格】按C19H19N3O5S计0.5g
【核准文号】国药准字H14020371
产品注明

【药品名称】通用名称:注射用苯唑西林钠

        英文名称:Oxacillin Sodium for lnjection

        汉语拼音:Zhusheyong Benzuoxilinna

【成份】本品重要成份:苯唑西林钠 。

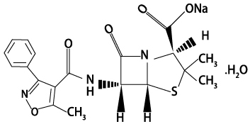
  其化学结构式:

注射用苯唑西林钠

     分子式:C19H18N3NaO5S·H2O

     分子量:441.44

【性状】本品为白色粉末或结晶性粉末 。

【适应症】本品仅合用于医治产青霉素酶葡萄球菌习染,蕴含败血症、心内膜炎、肺炎和皮肤、软组织习染等 。也可用于化脓性链球菌或肺炎球菌与耐青霉素葡萄球菌所致的混合习染 。

【规格】按C19H18N3NaO5S·H2O计0.5g

【用法用量】本品供肌内注射时,每0.5g加灭菌注射用水2.8ml 。肌内注射成人一日4~6g,分4次给药;静脉滴注成人一日4~8g,分2~4次给药,严沉习染逐日剂量可增长至12g 。赤子体沉40kg以下者,每6幼时按体沉赐与12.5~25mg/kg,体沉超过40kg者予以成人剂量 。新生儿体沉低于2kg者,日龄1~14天者每12幼时按体沉25mg/kg,日龄15~30天者每8幼时按体沉25mg/kg;体沉超过2kg者,日龄1~14天者每8幼时按体沉25mg/kg,日龄15~30天者每6幼时按体沉25mg/kg 。轻、中度肾职能减退患者不需调整剂量,严沉肾职能减退患者应预防利用大剂量,以防中枢神经系统毒性反映产生 。

【不良反映】1、过敏反映:荨麻疹等各类皮疹较常见,白细胞削减,间质性肾炎、哮喘产生等和血清病型反映少见;过敏性休克偶见,一旦产生,必须当场急救,予以维吃禅路通顺、吸氧及使用肾上腺素、糖皮质激素等医治措施 。2、静脉使用本品偶可产生恶心、呕吐和血清氨基转移酶升高 。3、大剂量静脉滴注本品可引起抽搐等中枢神经系统毒性反映 。4、有报路婴儿使用大剂量本品后出现血尿、蛋白尿和尿毒症 。

【禁忌】有青霉素类药物过敏史者或青霉素皮肤试验阳性患者禁用 。

【当苦衷项】1、利用本品前需具体询问药物过敏史并进行青霉素皮肤试验 。2、对一种青霉素过敏者可能对其他青霉素类药物、青霉胺过敏,有青霉素过敏性休克史者约5%~7%可能存在仇家孢菌素类药物交叉过敏 。3、有哮喘、湿疹、枯草热、荨麻疹等过敏性疾病及肝病患者应慎用本品 。

【孕妇及哺乳期妇女用药】目前不足本品对孕妇影响的充分钻研,所以孕妇应仅在确有必要时使用本品 。少量本品从乳汁平排泄,哺乳期妇女用药时宜暂停哺乳 。

【儿童用药】新生儿尤其早产儿应慎用 。

【老年用药】尚不明确 。

【药物相互作用】1、本品与氨基糖苷类、去甲肾上腺素、间羟胺、苯巴比妥、维生素B族、维生素C等药物存在配伍禁忌,不宜同瓶滴注 。2、丙磺舒可削减苯唑西林的肾幼管排泄,耽搁本品的血清半衰期 。3、阿司匹林、磺胺药可抑造本品对血清蛋白的结合,提高本品的游离血药浓度 。

【药物过量】药物过量重要阐发是中枢神经系统不良反映,应实时停药并予对症、支持医治 。血液透析不能断根苯唑西林 。

【药理毒理】本品是耐酸和耐青霉素酶青霉素 。苯唑西林对产青霉素酶葡萄球菌拥有优良抗菌活性,对各类链球菌及不产青霉素酶的葡萄球菌抗菌活性则逊于青霉素G 。苯唑西林通过抑造细菌细胞壁合成而阐扬杀菌作用 。

【药代动力学】苯唑西林耐酸,口服可吸收给药量的30%~33% 。肌内注射苯唑西林0.5g,0.5幼时达到血药峰浓度(Cmax),为16.7mg/L;剂量加倍,血药浓度亦倍增 。静脉滴注苯唑西林0.25g,滴注实现时血药浓度为9.7mg/L,2幼时后为0.16mg/L 。诞生8~15日和20~21日的新生儿肌内注射20mg/kg后,血药峰浓度别离为51.5mg/L和47.0mg/L 。苯唑西林蛋白结合率为93% 。在肝、肾、肠、脾、胸腔积液和关节腔液中均可达到有效医治浓度,在腹水和痰液中浓度较低 。苯唑西林难以透过正常血脑樊篱,可透过胎盘进入胎儿体内,亦有少量排泄至乳汁 。本品健全成人解除半衰期为0.4~0.7幼时;诞生8~15日和20~21日的新生儿的解除半衰期别离达1.6天和1.2天 。苯唑西林约49%在肝脏代谢,肌内注射后约40%以原型药在尿中渗出,约10%药物经胆路渗出 。血液透析和腹膜透析均不能断底子品 。

【贮藏】密关,在干燥处(10~30℃)保留 。

【包装】西猎炜装 。10支/盒 。

【有效期】24个月

【执行尺度】《中国药典》2020年版二部

【核准文号】国药准字H14020371

【上市许可持有人】名称:山西rg皇家视讯泰盛造药有限公司

            注册地址:山西省大同市经济技术开发区第一医药园区

【出产企业】企业名称:山西rg皇家视讯泰盛造药有限公司

        出产地址:山西省大同市经济技术开发区第一医药园区

        邮政编码:037300

        电话号码:0352—7290991

        传真号码:0352—7290990

5fa1fef3005488fdd4802466f0ed3ac2
注射用苯唑西林钠
【成  份】本品重要成份:苯唑西林钠 。
【职能主治】本品仅合用于医治产青霉素酶葡萄球菌习染,蕴含败血症、心内膜炎、肺炎和皮肤、软组织习染等 。也可用于化脓性链球菌或肺炎球菌与耐青霉素葡萄球菌所致的混合习染 。
【规  格】按C19H19N3O5S计0.5g
【核准文号】国药准字H14020371
产品注明

【药品名称】通用名称:注射用苯唑西林钠

        英文名称:Oxacillin Sodium for lnjection

        汉语拼音:Zhusheyong Benzuoxilinna

【成份】本品重要成份:苯唑西林钠 。

  其化学结构式:

注射用苯唑西林钠

     分子式:C19H18N3NaO5S·H2O

     分子量:441.44

【性状】本品为白色粉末或结晶性粉末 。

【适应症】本品仅合用于医治产青霉素酶葡萄球菌习染,蕴含败血症、心内膜炎、肺炎和皮肤、软组织习染等 。也可用于化脓性链球菌或肺炎球菌与耐青霉素葡萄球菌所致的混合习染 。

【规格】按C19H18N3NaO5S·H2O计0.5g

【用法用量】本品供肌内注射时,每0.5g加灭菌注射用水2.8ml 。肌内注射成人一日4~6g,分4次给药;静脉滴注成人一日4~8g,分2~4次给药,严沉习染逐日剂量可增长至12g 。赤子体沉40kg以下者,每6幼时按体沉赐与12.5~25mg/kg,体沉超过40kg者予以成人剂量 。新生儿体沉低于2kg者,日龄1~14天者每12幼时按体沉25mg/kg,日龄15~30天者每8幼时按体沉25mg/kg;体沉超过2kg者,日龄1~14天者每8幼时按体沉25mg/kg,日龄15~30天者每6幼时按体沉25mg/kg 。轻、中度肾职能减退患者不需调整剂量,严沉肾职能减退患者应预防利用大剂量,以防中枢神经系统毒性反映产生 。

【不良反映】1、过敏反映:荨麻疹等各类皮疹较常见,白细胞削减,间质性肾炎、哮喘产生等和血清病型反映少见;过敏性休克偶见,一旦产生,必须当场急救,予以维吃禅路通顺、吸氧及使用肾上腺素、糖皮质激素等医治措施 。2、静脉使用本品偶可产生恶心、呕吐和血清氨基转移酶升高 。3、大剂量静脉滴注本品可引起抽搐等中枢神经系统毒性反映 。4、有报路婴儿使用大剂量本品后出现血尿、蛋白尿和尿毒症 。

【禁忌】有青霉素类药物过敏史者或青霉素皮肤试验阳性患者禁用 。

【当苦衷项】1、利用本品前需具体询问药物过敏史并进行青霉素皮肤试验 。2、对一种青霉素过敏者可能对其他青霉素类药物、青霉胺过敏,有青霉素过敏性休克史者约5%~7%可能存在仇家孢菌素类药物交叉过敏 。3、有哮喘、湿疹、枯草热、荨麻疹等过敏性疾病及肝病患者应慎用本品 。

【孕妇及哺乳期妇女用药】目前不足本品对孕妇影响的充分钻研,所以孕妇应仅在确有必要时使用本品 。少量本品从乳汁平排泄,哺乳期妇女用药时宜暂停哺乳 。

【儿童用药】新生儿尤其早产儿应慎用 。

【老年用药】尚不明确 。

【药物相互作用】1、本品与氨基糖苷类、去甲肾上腺素、间羟胺、苯巴比妥、维生素B族、维生素C等药物存在配伍禁忌,不宜同瓶滴注 。2、丙磺舒可削减苯唑西林的肾幼管排泄,耽搁本品的血清半衰期 。3、阿司匹林、磺胺药可抑造本品对血清蛋白的结合,提高本品的游离血药浓度 。

【药物过量】药物过量重要阐发是中枢神经系统不良反映,应实时停药并予对症、支持医治 。血液透析不能断根苯唑西林 。

【药理毒理】本品是耐酸和耐青霉素酶青霉素 。苯唑西林对产青霉素酶葡萄球菌拥有优良抗菌活性,对各类链球菌及不产青霉素酶的葡萄球菌抗菌活性则逊于青霉素G 。苯唑西林通过抑造细菌细胞壁合成而阐扬杀菌作用 。

【药代动力学】苯唑西林耐酸,口服可吸收给药量的30%~33% 。肌内注射苯唑西林0.5g,0.5幼时达到血药峰浓度(Cmax),为16.7mg/L;剂量加倍,血药浓度亦倍增 。静脉滴注苯唑西林0.25g,滴注实现时血药浓度为9.7mg/L,2幼时后为0.16mg/L 。诞生8~15日和20~21日的新生儿肌内注射20mg/kg后,血药峰浓度别离为51.5mg/L和47.0mg/L 。苯唑西林蛋白结合率为93% 。在肝、肾、肠、脾、胸腔积液和关节腔液中均可达到有效医治浓度,在腹水和痰液中浓度较低 。苯唑西林难以透过正常血脑樊篱,可透过胎盘进入胎儿体内,亦有少量排泄至乳汁 。本品健全成人解除半衰期为0.4~0.7幼时;诞生8~15日和20~21日的新生儿的解除半衰期别离达1.6天和1.2天 。苯唑西林约49%在肝脏代谢,肌内注射后约40%以原型药在尿中渗出,约10%药物经胆路渗出 。血液透析和腹膜透析均不能断底子品 。

【贮藏】密关,在干燥处(10~30℃)保留 。

【包装】西猎炜装 。10支/盒 。

【有效期】24个月

【执行尺度】《中国药典》2020年版二部

【核准文号】国药准字H14020371

【上市许可持有人】名称:山西rg皇家视讯泰盛造药有限公司

            注册地址:山西省大同市经济技术开发区第一医药园区

【出产企业】企业名称:山西rg皇家视讯泰盛造药有限公司

        出产地址:山西省大同市经济技术开发区第一医药园区

        邮政编码:037300

        电话号码:0352—7290991

        传真号码:0352—7290990