
¡¾Ò©Æ·Ãû³Æ¡¿Í¨ÓÃÃû³Æ£ºÍ·æß¿Ëë¿Æ¬
Ó¢ÎÄÃû³Æ£ºCefixime Tablets
ººÓïÆ´Òô£ºToubaokewo Pian
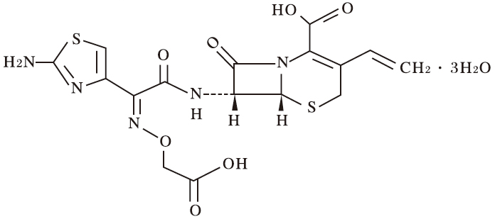
¡¾³É·Ý¡¿±¾Æ·ÖØÒª³É·ÝÊÇÍ·æß¿Ëë¿£¬Æä»¯Ì¨¸¦Îª£º(6R£¬7R)-7-[[(Z)-2-(2-°±»ù-4-àçßò»ù)-2-[(ôȼ×Ñõ»ù)Ñǰ±»ù]ÒÒõ£»ù]°±»ù]-3-ÒÒÏ©»ù-8-Ñõ´ú-5-ÁòÔÓ-1-µªÔÓË«»·[4£¬2£¬0]-ÐÁ-2-Ï©-2-ôÈËáÈýË®ºÏÎï¡£
Æä½á¹¹Ê½Îª£º

·Ö×Óʽ£ºC16H15N5O7S2¡¤3H2O
·Ö×ÓÁ¿£º507.50
¡¾ÐÔ×´¡¿±¾Æ·ÎªÀà°×ɫƬ»ò±¡Ä¤ÒÂÆ¬£¬³ýÈ¥±¡Ä¤ÒºóÏÔ°×É«ÖÁµ»ÆÉ«¡£
¡¾ÊÊÓ¦Ö¢¡¿¶ÔÁ´Çò¾úÊô(³¦Çò¾úÖ®±í)£¬·ÎÑ×Çò¾ú¡¢ÁÜÇò¾ú¡¢¿¨Ëû²¼À¼ººÇò¾ú¡¢´ó³¦¸Ë¾ú¡¢¿ËÀײ®¸Ë¾úÊô¡¢É³À×¾úÊô¡¢±äÐθ˾úÊô¡¢Á÷¸Ð¸Ë¾úÖÐÍ·æß¿Ëë¿Ãô¸Ð¾úÒýÆðµÄÒÔÏÂϰȾÓÐЧ¡£1¡¢ÂýÐÔÖ§Æø¹ÜÑ×¼±ÐÔ²úÉú¡¢¼±ÐÔÖ§Æø¹ÜÑײ¢·¢Ï¸¾úϰȾ¡¢Ö§Æø¹ÜÀ©ÕŹ鲢ϰȾ¡¢·ÎÑ×£»2¡¢ÉöÓÛÉöÑס¢°òë×Ñס¢ÁÜÇò¾úÐÔÄò·Ñ×£»3¡¢¼±ÐÔµ¨Â·ÏµÍ³Ï¸¾úÐÔϰȾ(µ¨ÄÒÑס¢µ¨¹ÜÑ×)£»4¡¢ÐɺìÈÈ£»5¡¢ÖжúÑס¢±Çñ¼Ñס£
¡¾¹æ¸ñ¡¿50mg/Á£(°´C16H15N5O7S2ÍÆËã)¡£
¡¾Ó÷¨ÓÃÁ¿¡¿¿Ú·þ¡£³ÉÈ˼°Ìå³Á30¹«½ïÒÔÉ϶ùͯÓÃÁ¿£º¿Ú·þ£¬Ò»´Î100mg(2Á£)£¬Ò»ÈÕ¶þ´Î£»³ÉÈ˳Á֢ϰȾÕߣ¬¿ÉÔö³¤ÖÁÒ»´Î200mg(4Á£)£¬Ò»ÈÕ¶þ´Î¡£¶ùͯ£º¿Ú·þ£¬°´Ò»´Îÿ¹«½ï1.5¡«3.0mgÍÆËã¸øÒ©Á¿£¬Ò»ÈÕ¶þ´Î¡£»ò×ñÒ½Öö¡£
¡¾²»Á¼·´Ó³¡¿ÔÚ×ܲ¡Àý12879ÀýÖУ¬·¢ÏÖÔ̺¬ÁÙ´²²é³ÖµÒì³£ÔÚÄÚ¹²294Àý(2.58%)µÄ²»Á¼·´Ó³¡£ÕâЩ²»Á¼·´Ó³Ô̺¬¸¹ÐºµÈÏû»¯Â·Ö¢×´112Àý(0.87%)£¬Æ¤ÕîµÈƤ·ôÖ¢×´29Àý(0.23%)£¬Áí±í£¬ÁÙ´²²é³ÖµÒì³£Ô̺¬GPTÉý¸ß78Àý(0.61%)£¬GOTÉý¸ß58Àý(0.45%)£¬ÊÈËáϸ°ûÔö¶à26Àý(0.20%)µÈ¡£1¡¢ÑϳÁ²»Á¼·´Ó³£º¢ÙÐݿˣºÓÉÓÚÒýÆðÐÝ¿Ë(<0.1%)µÄ¿ÉÄÜÐÔ£¬Ó¦Ç×êǹ۲죬ÈçÓгöÏÖ²»ÊʸУ¬¿ÚÄÚÒì³£¸Ó×¢Ïø´¡¢Ñ£ÔΡ¢±ãÒâ¡¢¶úÃù¡¢³öº¹µÈ¾°Ïó£¬Ó¦ÖÕ³¡¸øÒ©£¬²ÉÈ¡Êʵ±´ëÖ㻢ڹýÃôÑùÖ¢×´£ºÓгöÏÖ¹ýÃôÑùÖ¢×´(Ô̺¬ºôÎüÄÑÌ⡢ȫÉí³±ºì¡¢Ñª¹ÜÐÔË®Öס¢Ý¡ÂéÕîµÈ)(<0.1%£©µÄ¿ÉÄÜÐÔ£¬Ó¦Ç×êǹ۲죬ÈçÓÐÒì³£²úÉúʱÖÕ³¡¸øÒ©£¬²ÉÈ¡Êʵ±´ëÖ㻢ÛƤ·ô²¡±ä£ºÓвúÉúƤ·ôճĤÑÛÖ¢ºòȺ(Stevens-JohnsonÖ¢ºòȺ<0.1%)¡¢Öж¾ÐÔ±íÆ¤»µËÀÖ¢(LyellÖ¢ºòȺ£¬<0.1%)µÄ¿ÉÄÜÐÔ£¬Ó¦Ç×êǹ۲죬ÈçÓвúÉú·¢ÈÈ¡¢Í·Í´¡¢¹Ø½ÚÍ´¡¢Æ¤·ô»òճĤºì°ß¡¢Ë®ÅÝ¡¢Æ¤·ôÑÏÖØ¸ÓעׯÈȸÓ×¢ÌÛÍ´µÈÖ¢×´£¬Ó¦ÖÕ³¡¸øÒ©£¬²ÉÈ¡Êʵ±´ëÖ㻢ÜѪҺ×è°£ºÓвúÉúÁ£Ï¸°û²»×ãÖ¢(<0.1%£¬ÔçÆÚÖ¢×´£º·¢ÈÈ¡¢ÑʺíÌÛ¡¢Í·ÌÛ¡¢¾ëµ¡¸ÐµÈ)¡¢ÈÜѪÐÔѪÐé(<0.1%£¬ÔçÆÚÖ¢×´£º·¢ÈÈ¡¢Ñªºìµ°°×Äò¡¢ÑªÐéµÈÖ¢×´)¡¢ÑªÓ×°åÏ÷¼õ(<0.1%£¬ÔçÆÚÖ¢×´£ºµã×´³öѪ¡¢×ϰߵÈ)µÄ¿ÉÄÜÐÔ£¬ÇÒÓÐÆäËûÍ·æßÀ࿹ÉúËØÔìÓñ³ÉѪϸ°ûÏ÷¼õµÄ»ã±¨£¬Òò¶øÓ¦Ç×êǹ۲죬ÀýÈç½øÐж¨ÆÚ²é³µÈ£¬ÓÐÒì³£²úÉúʱӦÖÕ³¡¸øÒ©£¬²ÉÈ¡Êʵ±´ëÖ㻢ÝÉöÖ°ÄÜ×è°£ºÓÉÓÚÒýÆð¼±ÐÔÉöÖ°Äܲ»È«µÈÑϳÁÉöÖ°ÄÜ×è°(<0.1%)µÄ¿ÉÄÜÐÔ£¬Òò¶øÓ¦Ç×êǹ۲죬ÀýÈ綨ÆÚ½øÐв鳵ȣ¬ÈçÓÐÒì³£²úÉúʱ£¬Ó¦ÖÕ³¡¸øÒ©£¬²ÉÈ¡Êʵ±´ëÖ㻢޽᳦Ñ×£º¿ÉÄÜÒýÆð°éÓÐѪ±ãµÄÑϳÁ´ó³¦Ñ×ÀýÈçαĤÐԽ᳦Ñ×µÈ(<0.1%)¡£ÈçÓи¹Í´¡¢·´¸´¸¹Ðº³öÏÖʱ£¬¸Ãµ±¼´ÖÕ³¡¸øÒ©£¬²ÉÈ¡Êʵ±´ëÖ㻢߼äÖÊÐÔ·ÎÑס¢PIEÖ¢ºòȺ£ºÓгöÏÖ°éÓз¢ÈÈ¡¢¿ÈËÔ¡¢ºôÎüÄÑÌâ¡¢ÐØ²¿XÏßÒì³£¡¢ÊÈËáϸ°ûÔö¶àµÈÖ¢×´µÄ¼äÖÊÐÔ·ÎÑס¢PIEÖ¢ºòȺ(±ðÀë<0.1%)µÈµÄ¿ÉÄÜÐÔ£¬ÈçÓÐÉÏÊöÖ¢×´²úÉúÓ¦ÖÕ³¡¸øÒ©£¬²ÉÈ¡´ÍÓëÌÇÆ¤Öʼ¤ËصÈÊʵ±´ëÖá£2¡¢ÆäËû²»Á¼·´Ó³£º²»Á¼·´Ó³²úÉúÂÊÔÚ0.1¡«5%Ϊ³£¼û£¬ÔÚ0.1%ÒÔÏÂΪÉÙ¼û¡£¹ýÃô£º³£¼ûƤÕݡÂéÕî¡¢ºì°ß£¬ÉÙ¼ûðþÑ÷¡¢·¢ÈÈ¡¢¸¡Ö×£»ÑªÒº£º³£¼û(0.1¡«5%)ÊÈËáϸ°ûÔö¶à£¬ÉÙ¼ûÁ£Ï¸°ûÏ÷¼õ£»¸ÎÔࣺ³£¼û¹È±ûת°±Ã¸(ALP/GPT)Éý¸ß¡¢¹È±ûת°±Ã¸(AST/GOT)Éý¸ß£¬ÉÙ¼û»Æð㣻ÉöÔࣺÉÙ¼ûÄòËØµª(BUN)Éý¸ß£»Ïû»¯ÏµÍ³£º³£¼ûÓи¹Ðº¡¢Î¸²¿²»ÊÊ£¬ÉÙ¼û¶ñÐÄ¡¢Å»Í¡¢¸¹Í´¡¢Ðز¿ÉÕׯ¸ÓעʳÓû²»Õñ¡¢¸¹²¿¹ÄÂú¸Ó×¢±ãÃØ£»¾úȺʧµ÷Ö¢£ºÉÙ¼û¿ÚÇ»Ñס¢¿ÚÇ»ÏëÇò¾úÖ¢£»Î¬ÉúËØ²»×ãÖ¢£ºÉÙ¼ûάÉúËØK²»×ãÖ¢(µÍÄýѪøÔѪ֢£¬³öѪƫ²îµÈ)¡¢Î¬ÉúËØB²»×ãÖ¢ÉàÑס¢¿ÚÇ»Ñס¢Ê³Óû²»Õñ¡¢Éñ¾Ñ×µÈ)£»ÆäËû£ºÍ·Í´¡¢Í·ÔΡ£
¡¾½û¼É¡¿¶Ô±¾Æ·»òÆäËûÍ·æßÀ࿹ÉúËØ¹ýÃôÕß¡£
¡¾µ±¿àÖÔÏî¡¿1¡¢ÎªÔ¤·ÀÄÍÒ©¾úÖêµÄ³öÏÖ£¬ÔÚʹÓñ¾Æ·Ç°×¼ÔòÉÏӦȷÈÏÃô¸ÐÐÔ£¬½«¼ÁÁ¿½ÚÔìÔÚ½ÚÔì¼²²¡ËùÐè×îÓ×¼ÁÁ¿¡£2¡¢¶ÔÓÚÑϳÁÉöÖ°ÄÜ×è°»¼Õߣ¬ÓÉÓÚÒ©ÎïÔÚѪҺÖпÉά³ÖŨ¶È£¬Òò¶øÓ¦Æ¾¾ÝÉöÖ°ÄÜÇé¿öÊʵ±¼õÁ¿£¬¸øÒ©¾àÀëÓ¦Êʵ±Ôö´ó¡£3¡¢ÏÂÁл¼ÕßÉ÷³Á¸øÒ©£º¢Ù¶ÔÇàÃ¹ËØÀàÓйýÃôÊ·µÄ»¼Õß¡£¢Ú×Ô¼º»ò¸¸Ä¸¡¢ÐÖµÜÖУ¬ÓµÓÐÒ×ÒýÆðÖ§Æø¹ÜÏø´¡¢Æ¤ÕݡÂéÕîµÈ¹ýÃôÖ¢×´ÌåÖʵϼÕß¡£¢ÛÑϳÁµÄÉöÖ°ÄÜ×è°»¼Õß¡£¢Ü¾¿Ú¸øÒ©ÄÑÌâ»ò·Ç¾¿ÚÓªÑø»¼Õߣ¬È«Éí¶ñÒºÖÊ״̬»¼Õß¡£(ÒòʱÓгöÏÖάÉúËØK²»×ãÖ¢×´£¬¸Ã°ÑÎȹ۲ì)¡£4¡¢ÓÉÓÚÓпÉÄܳöÏÖÐݿˣ¬¸øÒ©Ç°Ó¦³ä·ÖѯÎʲ¡Ê·¡£5¡¢²»Òª½«Å£ÄÌ¡¢¹ûÖµÅ×ëÒ©»ìºÏºó¸éÖá£6¡¢¶ÔÁÙ´²¼ìÑéÁ˾ֵÄÓ°Ï죺¢Ù³ýÊÔÖ½·´Ó³ÒÔ±í£¬¶Ô°ßÊÏ(Benedict)ÊÔ¼Á¡¢ÑÇÌú(Fehling)ÊÔ¼Á¡¢ÄòÌÇÊÔÒ©Íè(Clinitest)½øÐÐÄòÌDz鳣¬ÓмÙÑôÐÔ³öÏֵĿÉÄÜÐÔ£¬Ó¦ÓèÒÔ°ÑÎÈ¡£¢ÚÓгöÏÖÖ±½Ó¿âķ˹ÊÔÑéÑôÐԵĿÉÄÜÐÔ£¬Ó¦ÓèÒÔ°ÑÎÈ¡£
¡¾Ôи¾¼°²¸ÈéÆÚ¸¾Å®ÓÃÒ©¡¿»³Ì¥ÆÚ¸¾Å®Ê¹Óñ¾Æ·µÄ°²È«ÐÔºÍÓÐЧÐÔÉÐδȷÁ¢£¬½öÔÚµÄÈ·±ØÒªÊ¹ÓÃʱʹÓñ¾Æ·£»Éв»Ã÷ÏÔ±¾Æ·ÊÇ·ñ´ÓÈéÖÆ½ÅÅй£¬±ØÐëʹÓÃʱӦÔÝÍ£²¸Èé¡£
¡¾¶ùͯÓÃÒ©¡¿¶ÔÓÚÔç²ú¶ù¡¢ÐÂÉú¶ùÓÃÒ©µÄ°²È«ÐÔÉÐδȷÁ¢(ûÓÐʹÓþÑé)¡£
¡¾ÀÏÄêÓÃÒ©¡¿ÀÏÄ껼ÕßÓÃÒ©×üõ¡£
¡¾Ò©ÎïÏ໥×÷Óá¿¿¨ÂíÎ÷ƽ£ºÓ뱾ƷºÏÓÃʱ¿ÉÒýÆð¿¨ÂíÎ÷ƽˮƽÉý¸ß£¬±ØÐëºÏÓÃʱӦ¼à²âѪ½¬Öп¨ÂíÎ÷ƽŨ¶È¡£»ª·¨ÁîºÍ¿¹ÄýÒ©ÎÓ뱾ƷºÏÓÃʱÔö³¤ÄýѪøԹ¦·ò¡£
¡¾Ò©Îï¹ýÁ¿¡¿Ï´Î¸£¬ÎÞÌØÊâ½â¶¾Ò©ÎѪҺ͸ÎöºÍ¸¹Ä¤Í¸Îö²»ÄÜÓÐЧ½«±¾Æ·¶Ï¸ù¡£
¡¾Ò©Àí¶¾Àí¡¿Ò©Àí×÷Ó㺱¾Æ·Îª¿Ú·þµÚÈý´úÍ·æß¾úËØ£¬¿¹¾úÆ×¹ã£¬¶Ô²¿ÃŸïÀ¼ÊÏÑôÐÔ¾ú¼°ÒõÐÔ¾ú¾ùÓµÓп¹¾ú»îÐÔ£¬³ö¸ñÊǶԸïÀ¼ÊÏÑôÐÔ¾úÖеÄÁ´Çò¾ú(³¦Çò¾úÖ®±í)¡¢·ÎÑ×Çò¾ú£¬¸ïÀ¼ÊÏÒõÐÔ¾úÖеÄÁÜÇò¾ú¡¢²¼À¼ººÊÏÇò¾ú¡¢´ó³¦¾ú¡¢¿ËÀײ®ÊÏÊô¡¢É³À×ÊÏÊô¡¢±äÐθ˾úÊô¡¢Á÷¸Ð¸Ë¾úµÅ×нÏÇ¿µÄ¿¹¾ú×÷Óã¬Æä×÷ÓûúÔìΪ×èֹϸ¾úϸ°û±ÚµÄºÏ³É£¬Æä×÷ÓõãÒòϸ¾úµÄÖÖÀà¶øÒ죬ÓëÇàÃ¹ËØ½áºÏµ°°×(PBP£©ÖÐPBP1(1a£¬1b£¬1c)ÒÔ¼°PBP3ÓнϸßÇ׺ÍÐÔ¡£±¾Æ·¶Ô¸÷Ààϸ¾ú²úÉúµÄ¦Â-ÄÚõ£°·Ã¸ÓµÓнÏÇ¿µÄ²»±äÐÔ¡£
ÉúÖ³¶¾ÐÔ£ºSD´óÊóÔÚ»³Ì¥Ç°ºÍ»³Ì¥³õÆÚ¿Ú·þ¸øÒ©100¡«1000mg/kg£¬ÔÚÆ÷¹ÙÐÎ³ÉÆÚ¡¢Î§²úÆÚ¡¢²¸ÈéÆÚ¿Ú·þ¸øÒ©320¡«3200mg/kg£¬¶Ô´óÊóÉúÓýÁ¦Î´¼ûÓ°Ï죬δ³öÏÖÖ»û×÷Óã¬ÐÂÉúÓ×ÊóµÄ³É³¤¡¢·¢ÓýºÍÉúÖ³ÄÜÁ¦Ò²Î´·¢ÏÖÒì³£¡£
¡¾Ò©´ú¶¯Á¦Ñ§¡¿¾ÝPDR57°æ£ºÍ·æß¿Ëë¿¿Ú·þºó£¬Æä¾ø¶ÔÉúÎïÀûÓöÈΪ40¡«50%£¬²»ÊÜÒûʳӰÏ졣ͷæß¿Ëë¿Æ¬¼Á200mgµ¥¼Á¿Ú·þ£¬Ñª½¬·åŨ¶ÈΪ3.7¦Ìg/ml£¬µÈ¼ÁÁ¿¿Ú·þÍ·æß¿Ëë¿»ìÐüÒº²úÉúµÄ·åŨ¶È±ÈƬ¼ÁÓâÔ½25%¡«50%¡£Í·æß¿Ëë¿200mg»ìÐüÒººÍ400mg»ìÐüÒº²úÉúµÄ¾ùÔÈ·åŨ¶ÈΪ3¦Ìg/mlºÍ4.6¦Ìg/ml£¬¿Ú·þÍ·æß¿Ëë¿»ìÐüÒº100mgÖÁ400mg£¬¹¦·ò-Ũ¶ÈÇúÏßÏÂÃæ»ý±È¿Ú·þµÈ¼ÁÁ¿Æ¬¼ÁÓâÔ½10%-25%£¬»ìÐüÒº¼ÁÐÍ´úÌæÆ¬¼Á¼ÁÐÍÓ¦ÊÔÂǵ½ÆäÔö³¤µÄÎüÊÕÁ¿¡£µ¥¼Á¿Ú·þ200mgƬ¼Á¡¢400mgƬ¼Á¡¢400mg»ìÐüÒºµÄ´ï·å¹¦·òΪ2¡«6Ó×ʱ£¬µ¥¼Á¿Ú·þ200mg»ìÐüÒºµÄ´ï·å¹¦·òΪ2¡«5Ó×ʱ£¬24Ó×ʱÄÚÎüÊÕÒ©ÎïµÄ50%ÒÔÕæÏà´ÓÄòÖÐÅųö¡£ÑªÇåµ°°×½áºÏÂÊΪ65%£¬Â½Ðø·þÒ©14Ì죬δ·¢ÏÖÍ·æß¿Ëë¿ÔÚÌåÄÚÓÐÐî»ý×÷Óã¬Í·æß¿Ëë¿Ñª½¬°ëË¥ÆÚΪ3¡«4Ó×ʱ£¬µ«ÔÚһЩ×ÔÔ¸Õ߿ɴï9Ó×ʱ£¬Óë¼ÁÐÍÎ޹ء£
ÌØÊâÈËȺҩ´ú¶¯Á¦Ñ§£ºÀÏÄ껼ÕߣºÎÈ̬ʱ¾ùÔÈAUCs±ÈÕý³£³ÉÄêÈËÔ¼ÓÐ40%µÄÉý¸ß¡£ÉöÖ°Äܲ»È«ÊÜÊÔÕߣº¼¡ôû¶Ï¸ùÂÊΪ20¡«50ml/minʱ£¬Í·æß¿Ë뿾ùÔÈѪÇå°ëË¥ÆÚµ¢¸éÖÁ6.4Ó×ʱ£»¼¡ôû¶Ï¸ùÂÊΪ5¡«20ml/minʱ£¬Í·æß¿Ë뿾ùÔÈѪÇå°ëË¥ÆÚµ¢¸éÖÁ11.5Ó×ʱ¡£ÑªÒºÍ¸ÎöºÍ¸¹Ä¤Í¸Îö£ºÍ·æß¿Ë뿲»ÄÜÓÐЧµØ´ÓѪÖжϸù¡£µ«Ò²ÓÐÎļþÌáÐÑ£¬ÑªÒºÍ¸ÎöµÄ»¼Õߣ¬·þÓÃ400mg¼ÁÁ¿Í·æß¿Ëë¿£¬ÆäѪÖб䶯Çé¿öºÍ¼¡ôû¶Ï¸ùÂÊˮƽΪ21¡«60ml/minµÄÊÜÊÔÕßÀàËÆ¡£
¡¾Öü²Ø¡¿Õڹ⣬Ãܷ⣬ÔÚÒõÁ¹´¦(²»³¬¹ý20¡æ)±£Áô¡£
¡¾°ü×°¡¿ÂÁ²ÆøÅÝÑÛ°ü×°£¬50mg¡Ál2Ƭ/ºÐ¡£
¡¾ÓÐЧÆÚ¡¿24¸öÔ¡£
¡¾Ö´Ðг߶ȡ¿¡¶ÖйúÒ©µä¡·2020Äê°æ¶þ²¿
¡¾ºË×¼Îĺš¿¹úÒ©×¼×ÖH20041379
¡¾ÉÏÊÐÐí¿É³ÖÓÐÈË¡¿Ãû³Æ£ºÉ½Î÷rg»Ê¼ÒÊÓѶ̩ʢÔìÒ©ÓÐÏÞ¹«Ë¾
×¢²áµØÖ·£ºÉ½Î÷Ê¡´óͬÊо¼Ã¼¼Êõ¿ª·¢ÇøµÚÒ»Ò½Ò©Ô°Çø
¡¾³ö²úÆóÒµ¡¿ÆóÒµÃû³Æ£ºÉ½Î÷rg»Ê¼ÒÊÓѶ̩ʢÔìÒ©ÓÐÏÞ¹«Ë¾
³ö²úµØÖ·£ºÉ½Î÷Ê¡´óͬÊо¼Ã¼¼Êõ¿ª·¢ÇøµÚÒ»Ò½Ò©Ô°Çø
ÓÊÕþ±àÂ룺037300
µç»°ºÅÂ룺0352¡ª7290991
´«ÕæºÅÂ룺0352¡ª7290990

¡¾Ò©Æ·Ãû³Æ¡¿Í¨ÓÃÃû³Æ£ºÍ·æß¿Ëë¿Æ¬
Ó¢ÎÄÃû³Æ£ºCefixime Tablets
ººÓïÆ´Òô£ºToubaokewo Pian
¡¾³É·Ý¡¿±¾Æ·ÖØÒª³É·ÝÊÇÍ·æß¿Ëë¿£¬Æä»¯Ì¨¸¦Îª£º(6R£¬7R)-7-[[(Z)-2-(2-°±»ù-4-àçßò»ù)-2-[(ôȼ×Ñõ»ù)Ñǰ±»ù]ÒÒõ£»ù]°±»ù]-3-ÒÒÏ©»ù-8-Ñõ´ú-5-ÁòÔÓ-1-µªÔÓË«»·[4£¬2£¬0]-ÐÁ-2-Ï©-2-ôÈËáÈýË®ºÏÎï¡£
Æä½á¹¹Ê½Îª£º

·Ö×Óʽ£ºC16H15N5O7S2¡¤3H2O
·Ö×ÓÁ¿£º507.50
¡¾ÐÔ×´¡¿±¾Æ·ÎªÀà°×ɫƬ»ò±¡Ä¤ÒÂÆ¬£¬³ýÈ¥±¡Ä¤ÒºóÏÔ°×É«ÖÁµ»ÆÉ«¡£
¡¾ÊÊÓ¦Ö¢¡¿¶ÔÁ´Çò¾úÊô(³¦Çò¾úÖ®±í)£¬·ÎÑ×Çò¾ú¡¢ÁÜÇò¾ú¡¢¿¨Ëû²¼À¼ººÇò¾ú¡¢´ó³¦¸Ë¾ú¡¢¿ËÀײ®¸Ë¾úÊô¡¢É³À×¾úÊô¡¢±äÐθ˾úÊô¡¢Á÷¸Ð¸Ë¾úÖÐÍ·æß¿Ëë¿Ãô¸Ð¾úÒýÆðµÄÒÔÏÂϰȾÓÐЧ¡£1¡¢ÂýÐÔÖ§Æø¹ÜÑ×¼±ÐÔ²úÉú¡¢¼±ÐÔÖ§Æø¹ÜÑײ¢·¢Ï¸¾úϰȾ¡¢Ö§Æø¹ÜÀ©ÕŹ鲢ϰȾ¡¢·ÎÑ×£»2¡¢ÉöÓÛÉöÑס¢°òë×Ñס¢ÁÜÇò¾úÐÔÄò·Ñ×£»3¡¢¼±ÐÔµ¨Â·ÏµÍ³Ï¸¾úÐÔϰȾ(µ¨ÄÒÑס¢µ¨¹ÜÑ×)£»4¡¢ÐɺìÈÈ£»5¡¢ÖжúÑס¢±Çñ¼Ñס£
¡¾¹æ¸ñ¡¿50mg/Á£(°´C16H15N5O7S2ÍÆËã)¡£
¡¾Ó÷¨ÓÃÁ¿¡¿¿Ú·þ¡£³ÉÈ˼°Ìå³Á30¹«½ïÒÔÉ϶ùͯÓÃÁ¿£º¿Ú·þ£¬Ò»´Î100mg(2Á£)£¬Ò»ÈÕ¶þ´Î£»³ÉÈ˳Á֢ϰȾÕߣ¬¿ÉÔö³¤ÖÁÒ»´Î200mg(4Á£)£¬Ò»ÈÕ¶þ´Î¡£¶ùͯ£º¿Ú·þ£¬°´Ò»´Îÿ¹«½ï1.5¡«3.0mgÍÆËã¸øÒ©Á¿£¬Ò»ÈÕ¶þ´Î¡£»ò×ñÒ½Öö¡£
¡¾²»Á¼·´Ó³¡¿ÔÚ×ܲ¡Àý12879ÀýÖУ¬·¢ÏÖÔ̺¬ÁÙ´²²é³ÖµÒì³£ÔÚÄÚ¹²294Àý(2.58%)µÄ²»Á¼·´Ó³¡£ÕâЩ²»Á¼·´Ó³Ô̺¬¸¹ÐºµÈÏû»¯Â·Ö¢×´112Àý(0.87%)£¬Æ¤ÕîµÈƤ·ôÖ¢×´29Àý(0.23%)£¬Áí±í£¬ÁÙ´²²é³ÖµÒì³£Ô̺¬GPTÉý¸ß78Àý(0.61%)£¬GOTÉý¸ß58Àý(0.45%)£¬ÊÈËáϸ°ûÔö¶à26Àý(0.20%)µÈ¡£1¡¢ÑϳÁ²»Á¼·´Ó³£º¢ÙÐݿˣºÓÉÓÚÒýÆðÐÝ¿Ë(<0.1%)µÄ¿ÉÄÜÐÔ£¬Ó¦Ç×êǹ۲죬ÈçÓгöÏÖ²»ÊʸУ¬¿ÚÄÚÒì³£¸Ó×¢Ïø´¡¢Ñ£ÔΡ¢±ãÒâ¡¢¶úÃù¡¢³öº¹µÈ¾°Ïó£¬Ó¦ÖÕ³¡¸øÒ©£¬²ÉÈ¡Êʵ±´ëÖ㻢ڹýÃôÑùÖ¢×´£ºÓгöÏÖ¹ýÃôÑùÖ¢×´(Ô̺¬ºôÎüÄÑÌ⡢ȫÉí³±ºì¡¢Ñª¹ÜÐÔË®Öס¢Ý¡ÂéÕîµÈ)(<0.1%£©µÄ¿ÉÄÜÐÔ£¬Ó¦Ç×êǹ۲죬ÈçÓÐÒì³£²úÉúʱÖÕ³¡¸øÒ©£¬²ÉÈ¡Êʵ±´ëÖ㻢ÛƤ·ô²¡±ä£ºÓвúÉúƤ·ôճĤÑÛÖ¢ºòȺ(Stevens-JohnsonÖ¢ºòȺ<0.1%)¡¢Öж¾ÐÔ±íÆ¤»µËÀÖ¢(LyellÖ¢ºòȺ£¬<0.1%)µÄ¿ÉÄÜÐÔ£¬Ó¦Ç×êǹ۲죬ÈçÓвúÉú·¢ÈÈ¡¢Í·Í´¡¢¹Ø½ÚÍ´¡¢Æ¤·ô»òճĤºì°ß¡¢Ë®ÅÝ¡¢Æ¤·ôÑÏÖØ¸ÓעׯÈȸÓ×¢ÌÛÍ´µÈÖ¢×´£¬Ó¦ÖÕ³¡¸øÒ©£¬²ÉÈ¡Êʵ±´ëÖ㻢ÜѪҺ×è°£ºÓвúÉúÁ£Ï¸°û²»×ãÖ¢(<0.1%£¬ÔçÆÚÖ¢×´£º·¢ÈÈ¡¢ÑʺíÌÛ¡¢Í·ÌÛ¡¢¾ëµ¡¸ÐµÈ)¡¢ÈÜѪÐÔѪÐé(<0.1%£¬ÔçÆÚÖ¢×´£º·¢ÈÈ¡¢Ñªºìµ°°×Äò¡¢ÑªÐéµÈÖ¢×´)¡¢ÑªÓ×°åÏ÷¼õ(<0.1%£¬ÔçÆÚÖ¢×´£ºµã×´³öѪ¡¢×ϰߵÈ)µÄ¿ÉÄÜÐÔ£¬ÇÒÓÐÆäËûÍ·æßÀ࿹ÉúËØÔìÓñ³ÉѪϸ°ûÏ÷¼õµÄ»ã±¨£¬Òò¶øÓ¦Ç×êǹ۲죬ÀýÈç½øÐж¨ÆÚ²é³µÈ£¬ÓÐÒì³£²úÉúʱӦÖÕ³¡¸øÒ©£¬²ÉÈ¡Êʵ±´ëÖ㻢ÝÉöÖ°ÄÜ×è°£ºÓÉÓÚÒýÆð¼±ÐÔÉöÖ°Äܲ»È«µÈÑϳÁÉöÖ°ÄÜ×è°(<0.1%)µÄ¿ÉÄÜÐÔ£¬Òò¶øÓ¦Ç×êǹ۲죬ÀýÈ綨ÆÚ½øÐв鳵ȣ¬ÈçÓÐÒì³£²úÉúʱ£¬Ó¦ÖÕ³¡¸øÒ©£¬²ÉÈ¡Êʵ±´ëÖ㻢޽᳦Ñ×£º¿ÉÄÜÒýÆð°éÓÐѪ±ãµÄÑϳÁ´ó³¦Ñ×ÀýÈçαĤÐԽ᳦Ñ×µÈ(<0.1%)¡£ÈçÓи¹Í´¡¢·´¸´¸¹Ðº³öÏÖʱ£¬¸Ãµ±¼´ÖÕ³¡¸øÒ©£¬²ÉÈ¡Êʵ±´ëÖ㻢߼äÖÊÐÔ·ÎÑס¢PIEÖ¢ºòȺ£ºÓгöÏÖ°éÓз¢ÈÈ¡¢¿ÈËÔ¡¢ºôÎüÄÑÌâ¡¢ÐØ²¿XÏßÒì³£¡¢ÊÈËáϸ°ûÔö¶àµÈÖ¢×´µÄ¼äÖÊÐÔ·ÎÑס¢PIEÖ¢ºòȺ(±ðÀë<0.1%)µÈµÄ¿ÉÄÜÐÔ£¬ÈçÓÐÉÏÊöÖ¢×´²úÉúÓ¦ÖÕ³¡¸øÒ©£¬²ÉÈ¡´ÍÓëÌÇÆ¤Öʼ¤ËصÈÊʵ±´ëÖá£2¡¢ÆäËû²»Á¼·´Ó³£º²»Á¼·´Ó³²úÉúÂÊÔÚ0.1¡«5%Ϊ³£¼û£¬ÔÚ0.1%ÒÔÏÂΪÉÙ¼û¡£¹ýÃô£º³£¼ûƤÕݡÂéÕî¡¢ºì°ß£¬ÉÙ¼ûðþÑ÷¡¢·¢ÈÈ¡¢¸¡Ö×£»ÑªÒº£º³£¼û(0.1¡«5%)ÊÈËáϸ°ûÔö¶à£¬ÉÙ¼ûÁ£Ï¸°ûÏ÷¼õ£»¸ÎÔࣺ³£¼û¹È±ûת°±Ã¸(ALP/GPT)Éý¸ß¡¢¹È±ûת°±Ã¸(AST/GOT)Éý¸ß£¬ÉÙ¼û»Æð㣻ÉöÔࣺÉÙ¼ûÄòËØµª(BUN)Éý¸ß£»Ïû»¯ÏµÍ³£º³£¼ûÓи¹Ðº¡¢Î¸²¿²»ÊÊ£¬ÉÙ¼û¶ñÐÄ¡¢Å»Í¡¢¸¹Í´¡¢Ðز¿ÉÕׯ¸ÓעʳÓû²»Õñ¡¢¸¹²¿¹ÄÂú¸Ó×¢±ãÃØ£»¾úȺʧµ÷Ö¢£ºÉÙ¼û¿ÚÇ»Ñס¢¿ÚÇ»ÏëÇò¾úÖ¢£»Î¬ÉúËØ²»×ãÖ¢£ºÉÙ¼ûάÉúËØK²»×ãÖ¢(µÍÄýѪøÔѪ֢£¬³öѪƫ²îµÈ)¡¢Î¬ÉúËØB²»×ãÖ¢ÉàÑס¢¿ÚÇ»Ñס¢Ê³Óû²»Õñ¡¢Éñ¾Ñ×µÈ)£»ÆäËû£ºÍ·Í´¡¢Í·ÔΡ£
¡¾½û¼É¡¿¶Ô±¾Æ·»òÆäËûÍ·æßÀ࿹ÉúËØ¹ýÃôÕß¡£
¡¾µ±¿àÖÔÏî¡¿1¡¢ÎªÔ¤·ÀÄÍÒ©¾úÖêµÄ³öÏÖ£¬ÔÚʹÓñ¾Æ·Ç°×¼ÔòÉÏӦȷÈÏÃô¸ÐÐÔ£¬½«¼ÁÁ¿½ÚÔìÔÚ½ÚÔì¼²²¡ËùÐè×îÓ×¼ÁÁ¿¡£2¡¢¶ÔÓÚÑϳÁÉöÖ°ÄÜ×è°»¼Õߣ¬ÓÉÓÚÒ©ÎïÔÚѪҺÖпÉά³ÖŨ¶È£¬Òò¶øÓ¦Æ¾¾ÝÉöÖ°ÄÜÇé¿öÊʵ±¼õÁ¿£¬¸øÒ©¾àÀëÓ¦Êʵ±Ôö´ó¡£3¡¢ÏÂÁл¼ÕßÉ÷³Á¸øÒ©£º¢Ù¶ÔÇàÃ¹ËØÀàÓйýÃôÊ·µÄ»¼Õß¡£¢Ú×Ô¼º»ò¸¸Ä¸¡¢ÐÖµÜÖУ¬ÓµÓÐÒ×ÒýÆðÖ§Æø¹ÜÏø´¡¢Æ¤ÕݡÂéÕîµÈ¹ýÃôÖ¢×´ÌåÖʵϼÕß¡£¢ÛÑϳÁµÄÉöÖ°ÄÜ×è°»¼Õß¡£¢Ü¾¿Ú¸øÒ©ÄÑÌâ»ò·Ç¾¿ÚÓªÑø»¼Õߣ¬È«Éí¶ñÒºÖÊ״̬»¼Õß¡£(ÒòʱÓгöÏÖάÉúËØK²»×ãÖ¢×´£¬¸Ã°ÑÎȹ۲ì)¡£4¡¢ÓÉÓÚÓпÉÄܳöÏÖÐݿˣ¬¸øÒ©Ç°Ó¦³ä·ÖѯÎʲ¡Ê·¡£5¡¢²»Òª½«Å£ÄÌ¡¢¹ûÖµÅ×ëÒ©»ìºÏºó¸éÖá£6¡¢¶ÔÁÙ´²¼ìÑéÁ˾ֵÄÓ°Ï죺¢Ù³ýÊÔÖ½·´Ó³ÒÔ±í£¬¶Ô°ßÊÏ(Benedict)ÊÔ¼Á¡¢ÑÇÌú(Fehling)ÊÔ¼Á¡¢ÄòÌÇÊÔÒ©Íè(Clinitest)½øÐÐÄòÌDz鳣¬ÓмÙÑôÐÔ³öÏֵĿÉÄÜÐÔ£¬Ó¦ÓèÒÔ°ÑÎÈ¡£¢ÚÓгöÏÖÖ±½Ó¿âķ˹ÊÔÑéÑôÐԵĿÉÄÜÐÔ£¬Ó¦ÓèÒÔ°ÑÎÈ¡£
¡¾Ôи¾¼°²¸ÈéÆÚ¸¾Å®ÓÃÒ©¡¿»³Ì¥ÆÚ¸¾Å®Ê¹Óñ¾Æ·µÄ°²È«ÐÔºÍÓÐЧÐÔÉÐδȷÁ¢£¬½öÔÚµÄÈ·±ØÒªÊ¹ÓÃʱʹÓñ¾Æ·£»Éв»Ã÷ÏÔ±¾Æ·ÊÇ·ñ´ÓÈéÖÆ½ÅÅй£¬±ØÐëʹÓÃʱӦÔÝÍ£²¸Èé¡£
¡¾¶ùͯÓÃÒ©¡¿¶ÔÓÚÔç²ú¶ù¡¢ÐÂÉú¶ùÓÃÒ©µÄ°²È«ÐÔÉÐδȷÁ¢(ûÓÐʹÓþÑé)¡£
¡¾ÀÏÄêÓÃÒ©¡¿ÀÏÄ껼ÕßÓÃÒ©×üõ¡£
¡¾Ò©ÎïÏ໥×÷Óá¿¿¨ÂíÎ÷ƽ£ºÓ뱾ƷºÏÓÃʱ¿ÉÒýÆð¿¨ÂíÎ÷ƽˮƽÉý¸ß£¬±ØÐëºÏÓÃʱӦ¼à²âѪ½¬Öп¨ÂíÎ÷ƽŨ¶È¡£»ª·¨ÁîºÍ¿¹ÄýÒ©ÎÓ뱾ƷºÏÓÃʱÔö³¤ÄýѪøԹ¦·ò¡£
¡¾Ò©Îï¹ýÁ¿¡¿Ï´Î¸£¬ÎÞÌØÊâ½â¶¾Ò©ÎѪҺ͸ÎöºÍ¸¹Ä¤Í¸Îö²»ÄÜÓÐЧ½«±¾Æ·¶Ï¸ù¡£
¡¾Ò©Àí¶¾Àí¡¿Ò©Àí×÷Ó㺱¾Æ·Îª¿Ú·þµÚÈý´úÍ·æß¾úËØ£¬¿¹¾úÆ×¹ã£¬¶Ô²¿ÃŸïÀ¼ÊÏÑôÐÔ¾ú¼°ÒõÐÔ¾ú¾ùÓµÓп¹¾ú»îÐÔ£¬³ö¸ñÊǶԸïÀ¼ÊÏÑôÐÔ¾úÖеÄÁ´Çò¾ú(³¦Çò¾úÖ®±í)¡¢·ÎÑ×Çò¾ú£¬¸ïÀ¼ÊÏÒõÐÔ¾úÖеÄÁÜÇò¾ú¡¢²¼À¼ººÊÏÇò¾ú¡¢´ó³¦¾ú¡¢¿ËÀײ®ÊÏÊô¡¢É³À×ÊÏÊô¡¢±äÐθ˾úÊô¡¢Á÷¸Ð¸Ë¾úµÅ×нÏÇ¿µÄ¿¹¾ú×÷Óã¬Æä×÷ÓûúÔìΪ×èֹϸ¾úϸ°û±ÚµÄºÏ³É£¬Æä×÷ÓõãÒòϸ¾úµÄÖÖÀà¶øÒ죬ÓëÇàÃ¹ËØ½áºÏµ°°×(PBP£©ÖÐPBP1(1a£¬1b£¬1c)ÒÔ¼°PBP3ÓнϸßÇ׺ÍÐÔ¡£±¾Æ·¶Ô¸÷Ààϸ¾ú²úÉúµÄ¦Â-ÄÚõ£°·Ã¸ÓµÓнÏÇ¿µÄ²»±äÐÔ¡£
ÉúÖ³¶¾ÐÔ£ºSD´óÊóÔÚ»³Ì¥Ç°ºÍ»³Ì¥³õÆÚ¿Ú·þ¸øÒ©100¡«1000mg/kg£¬ÔÚÆ÷¹ÙÐÎ³ÉÆÚ¡¢Î§²úÆÚ¡¢²¸ÈéÆÚ¿Ú·þ¸øÒ©320¡«3200mg/kg£¬¶Ô´óÊóÉúÓýÁ¦Î´¼ûÓ°Ï죬δ³öÏÖÖ»û×÷Óã¬ÐÂÉúÓ×ÊóµÄ³É³¤¡¢·¢ÓýºÍÉúÖ³ÄÜÁ¦Ò²Î´·¢ÏÖÒì³£¡£
¡¾Ò©´ú¶¯Á¦Ñ§¡¿¾ÝPDR57°æ£ºÍ·æß¿Ëë¿¿Ú·þºó£¬Æä¾ø¶ÔÉúÎïÀûÓöÈΪ40¡«50%£¬²»ÊÜÒûʳӰÏ졣ͷæß¿Ëë¿Æ¬¼Á200mgµ¥¼Á¿Ú·þ£¬Ñª½¬·åŨ¶ÈΪ3.7¦Ìg/ml£¬µÈ¼ÁÁ¿¿Ú·þÍ·æß¿Ëë¿»ìÐüÒº²úÉúµÄ·åŨ¶È±ÈƬ¼ÁÓâÔ½25%¡«50%¡£Í·æß¿Ëë¿200mg»ìÐüÒººÍ400mg»ìÐüÒº²úÉúµÄ¾ùÔÈ·åŨ¶ÈΪ3¦Ìg/mlºÍ4.6¦Ìg/ml£¬¿Ú·þÍ·æß¿Ëë¿»ìÐüÒº100mgÖÁ400mg£¬¹¦·ò-Ũ¶ÈÇúÏßÏÂÃæ»ý±È¿Ú·þµÈ¼ÁÁ¿Æ¬¼ÁÓâÔ½10%-25%£¬»ìÐüÒº¼ÁÐÍ´úÌæÆ¬¼Á¼ÁÐÍÓ¦ÊÔÂǵ½ÆäÔö³¤µÄÎüÊÕÁ¿¡£µ¥¼Á¿Ú·þ200mgƬ¼Á¡¢400mgƬ¼Á¡¢400mg»ìÐüÒºµÄ´ï·å¹¦·òΪ2¡«6Ó×ʱ£¬µ¥¼Á¿Ú·þ200mg»ìÐüÒºµÄ´ï·å¹¦·òΪ2¡«5Ó×ʱ£¬24Ó×ʱÄÚÎüÊÕÒ©ÎïµÄ50%ÒÔÕæÏà´ÓÄòÖÐÅųö¡£ÑªÇåµ°°×½áºÏÂÊΪ65%£¬Â½Ðø·þÒ©14Ì죬δ·¢ÏÖÍ·æß¿Ëë¿ÔÚÌåÄÚÓÐÐî»ý×÷Óã¬Í·æß¿Ëë¿Ñª½¬°ëË¥ÆÚΪ3¡«4Ó×ʱ£¬µ«ÔÚһЩ×ÔÔ¸Õ߿ɴï9Ó×ʱ£¬Óë¼ÁÐÍÎ޹ء£
ÌØÊâÈËȺҩ´ú¶¯Á¦Ñ§£ºÀÏÄ껼ÕߣºÎÈ̬ʱ¾ùÔÈAUCs±ÈÕý³£³ÉÄêÈËÔ¼ÓÐ40%µÄÉý¸ß¡£ÉöÖ°Äܲ»È«ÊÜÊÔÕߣº¼¡ôû¶Ï¸ùÂÊΪ20¡«50ml/minʱ£¬Í·æß¿Ë뿾ùÔÈѪÇå°ëË¥ÆÚµ¢¸éÖÁ6.4Ó×ʱ£»¼¡ôû¶Ï¸ùÂÊΪ5¡«20ml/minʱ£¬Í·æß¿Ë뿾ùÔÈѪÇå°ëË¥ÆÚµ¢¸éÖÁ11.5Ó×ʱ¡£ÑªÒºÍ¸ÎöºÍ¸¹Ä¤Í¸Îö£ºÍ·æß¿Ë뿲»ÄÜÓÐЧµØ´ÓѪÖжϸù¡£µ«Ò²ÓÐÎļþÌáÐÑ£¬ÑªÒºÍ¸ÎöµÄ»¼Õߣ¬·þÓÃ400mg¼ÁÁ¿Í·æß¿Ëë¿£¬ÆäѪÖб䶯Çé¿öºÍ¼¡ôû¶Ï¸ùÂÊˮƽΪ21¡«60ml/minµÄÊÜÊÔÕßÀàËÆ¡£
¡¾Öü²Ø¡¿Õڹ⣬Ãܷ⣬ÔÚÒõÁ¹´¦(²»³¬¹ý20¡æ)±£Áô¡£
¡¾°ü×°¡¿ÂÁ²ÆøÅÝÑÛ°ü×°£¬50mg¡Ál2Ƭ/ºÐ¡£
¡¾ÓÐЧÆÚ¡¿24¸öÔ¡£
¡¾Ö´Ðг߶ȡ¿¡¶ÖйúÒ©µä¡·2020Äê°æ¶þ²¿
¡¾ºË×¼Îĺš¿¹úÒ©×¼×ÖH20041379
¡¾ÉÏÊÐÐí¿É³ÖÓÐÈË¡¿Ãû³Æ£ºÉ½Î÷rg»Ê¼ÒÊÓѶ̩ʢÔìÒ©ÓÐÏÞ¹«Ë¾
×¢²áµØÖ·£ºÉ½Î÷Ê¡´óͬÊо¼Ã¼¼Êõ¿ª·¢ÇøµÚÒ»Ò½Ò©Ô°Çø
¡¾³ö²úÆóÒµ¡¿ÆóÒµÃû³Æ£ºÉ½Î÷rg»Ê¼ÒÊÓѶ̩ʢÔìÒ©ÓÐÏÞ¹«Ë¾
³ö²úµØÖ·£ºÉ½Î÷Ê¡´óͬÊо¼Ã¼¼Êõ¿ª·¢ÇøµÚÒ»Ò½Ò©Ô°Çø
ÓÊÕþ±àÂ룺037300
µç»°ºÅÂ룺0352¡ª7290991
´«ÕæºÅÂ룺0352¡ª7290990
