jk.zdjt.com.png?v=1
2dafdb9f545db31b93b9930fe68f4895
ÒÀ¸½ºìÃ¹ËØÆ¬
¡¾³É¡¡¡¡·Ý¡¿±¾Æ·ÖØÒª³É·ÝÊÇÒÀ¸½ºìÃ¹ËØ
¡¾Ö°ÄÜÖ÷ÖΡ¿·ÎÑ×Ö§Ô­Ìå·ÎÑס¢·ÎÑ×ÒÂÔ­Ìå·ÎÑס£
¡¾¹æ¡¡¡¡¸ñ¡¿°´ºìÃ¹ËØ¼Æ0.125g£¨12.5Íòµ¥Ôª£©
¡¾ºË×¼Îĺš¿¹úÒ©×¼×ÖH14020393
²úÆ·×¢Ã÷

¡¾Ò©Æ·Ãû³Æ¡¿

ͨÓÃÃû³Æ£ºÒÀ¸½ºìÃ¹ËØÆ¬

Ó¢ÎÄÃû³Æ£ºErythromycinEstolateTablets

ººÓïÆ´Òô£ºYituoHongmeisuPian

¡¾³É·Ý¡¿±¾Æ·ÖØÒª³É·ÝÊÇÒÀ¸½ºìÃ¹ËØ¡£

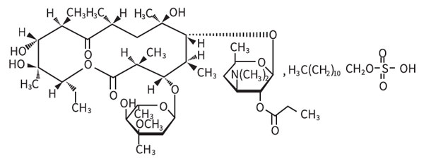
Æä½á¹¹Ê½Îª£º

ÒÀ¸½ºìÃ¹ËØÆ¬

·Ö×Óʽ£ºC40H71NO14¡¤C12H26O4S

·Ö×ÓÁ¿£º1056.40

¡¾ÐÔ×´¡¿±¾Æ·Îª°×ɫƬ¡£

¡¾ÊÊÓ¦Ö¢¡¿1.±¾Æ·×÷ΪÇàÃ¹ËØ¹ýÃô»¼ÕßÒ½ÖÎÏÂÁÐϰȾµÄ´úÌæÓÃÒ©£ºÈÜѪÐÔÁ´Çò¾ú¡¢·ÎÑ×Á´Çò¾úµÈËùÖµļ±ÐÔ±âÌÒÌåÑס¢¼±ÐÔÑÊÑס¢±Çñ¼Ñ×£»ÈÜѪÐÔÁ´Çò¾úËùÖµÄÐɺìÈÈ¡¢·äÎÑÖ¯Ñ×£»°×ºí¼°°×ºí´ø¾úÕߣ»ÆøÐÔ»µ¾Ò¡¢Ì¿¾Ò¡¢ÆÆ¸Ð𣻷ÅÏß¾ú²¡£»Ã·¶¾£»ÀîË¹ÌØ¾ú²¡µÈ¡£2.¾üÍžú²¡¡£3.·ÎÑ×Ö§Ô­Ìå·ÎÑס£4.·ÎÑ×ÒÂÔ­Ìå·ÎÑס£5.ÆäËûÒÂÔ­ÌåÊô¡¢Ö§Ô­ÌåÊôËùÖÂÃÚÄòÉúֳϵϰȾ¡£6.ɳÑÛÒÂÔ­Ìå½áĤÑס£7.ÑáÑõ¾úËùÖ¿ÚǻϰȾ¡£8.¿Õ³¦ÍäÇú¾ú³¦Ñס£9.°ÙÈÕ¿È¡£10.·çʪÈȸ´·¢¡¢Ï°È¾ÐÔÐÄÄÚĤÑ×£¨·çʪÐÔÐÄÔಡ¡¢ÏÈÐÔ×ÓÐÄÔಡ¡¢ÐÄÔà°êĤÖû»Êõºó£©¡¢Ô¤·À¿ÚÇ»»òÉϺôÎü·ϰȾ£¨ÇàÃ¹ËØµÄ´úÌæÓÃÒ©£©¡£

¡¾¹æ¸ñ¡¿°´ºìÃ¹ËØ¼Æ0.125g£¨12.5Íòµ¥Ôª£©

¡¾Ó÷¨ÓÃÁ¿¡¿

¿Ú·þ£¬³ÉÈËÒ»ÈÕ0.75~2g£¬·Ö3~4´Î£¬¶ùͯÖðÈÕ°´Ìå³Á20~30mg/kg£¬·Ö3~4´Î¡£Ò½ÖξüÍžú²¡£¬³ÉÈËÒ»´Î0.5~1.0g£¬Ò»ÈÕ4´Î¡£Ó÷ç¸ñʪÈȸ´·¢µÄÔ¤·ÀÓÃҩʱ£¬Ò»´Î0.25g£¬Ò»ÈÕ2´Î¡£ÓÃ×÷ϰȾÐÔÐÄÄÚĤÑ×µÄÔ¤·ÀÓÃҩʱ£¬Êõǰ1Ó×ʱ¿Ú·þ1g£¬Êõºó6Ó×ʱÔÙ·þÓÃ0.5g¡£

¡¾²»Á¼·´Ó³¡¿

1.·þÓñ¾Æ·ºó²úÉú¸Î¶¾ÐÔ·´Ó³Õ߽ϷþÓÃÆäËûºìÃ¹ËØÔì¼ÁΪ¶à¼û£¬·þÒ©ÊýÈÕ»ò1~2Öܺó»¼Õ߿ɳöÏÖ·¦Á¦¡¢¶ñÐÄ¡¢Å»Í¡¢¸¹Í´¡¢Æ¤Õî¡¢·¢ÈȵÈ¡£ÓÐʱ¿É³öÏÖ»Æð㣬¸ÎÖ°ÄÜÊÔÑéÏÔʾÓÙµ¨£¬Í£Ò©ºó³ £¿É¸´Ô­¡£

2.θ³¦Â··´Ó³Óи¹Ðº¡¢¶ñÐÄ¡¢Å»Í¡¢ÖÐÉϸ¹Í´¡¢¿ÚÉàÌÛÍ´¡¢Î¸ÄɼõÍ˵È£¬Æä²úÉúÂÊÓë¼ÁÁ¿´óÓ×ÓйØ¡£

3.´ó¼ÁÁ¿£¨¡Ý4g/ÈÕ£©ÀûÓÃʱ£¬ÓÈÆä¸Î¡¢Éö¼²²¡»¼Õß»òÀÏÄ껼Õߣ¬¿ÉÄÜÒýÆðÌýÁ¦¼õÍË£¬ÖØÒªÓëѪҩŨ¶È¹ý¸ß£¨>12mg/L£©ÓйØ£¬Í£Ò©ºó´ó¶à¿É¸´Ô­¡£

4.¹ýÃô·´Ó³²û·¢ÎªÒ©ÎïÈÈ¡¢Æ¤Õî¡¢ÊÈËáÁ£Ï¸°ûÔö¶àµÈ£¬²úÉúÂÊÔ¼0.5%~1%¡£

5.ÆäËû£ºÅ¼ÓÐÐÄÂɱä̬¡¢¿ÚÇ»»òÒõ·ÏëÖé¾úϰȾ¡£

¡¾½û¼É¡¿¶ÔºìÃ¹ËØÀàÒ©Îï¹ýÃôÕß½ûÓá£

¡¾µ±¿àÖÔÏî¡¿

1.·þÓñ¾Æ·ºó³öÏÖALT¡¢AST¡¢AKP¡¢µ¨ºìËØµÈÔö¸ßÕ߽ϷþÓÃÆäËûºìÃ¹ËØÔì¼ÁΪ¶à¼û¡£

2.ÈÜѪÐÔÁ´Çò¾úϰȾÓñ¾Æ·Ò½ÖÎʱ£¬ÖÁÉÙÐè³ÖÐø10ÈÕ£¬ÒÔÔ¤·À¼±ÐÔ·çʪÈȵIJúÉú¡£

3.ÉöÖ°ÄܼõÍË»¼Õßͨ³£ÎÞÐèÏ÷¼õÓÃÁ¿¡£

4.»¼Õß¶ÔÒ»ÖÖºìÃ¹ËØÔì¼Á¹ýÃô»ò²»ÄÜÄÍÊÜʱ£¬¶Ô±¾Æ·Ò²¿É¹ýÃô»ò²»ÄÜÄÍÊÜ¡£

5.ÂýÐԸβ¡¡¢¸ÎÖ°ÄÜÇÖº¦ÕßÉ÷Óá£

6.Òò·ÖÆçϸ¾ú¶ÔºìÃ¹ËØµÄÃô¸ÐÐÔ´æÔڿ϶¨²î¾à£¬¹ÊÓ¦×öÒ©Ãô²â¶¨¡£

7.¶ÔÕï¶ÏµÄ×ÌÈÅ£ººìÃ¹ËØ¿É×ÌÈÅHigerty·¨µÄÓ«¹â²â¶¨£¬Ê¹Äò¶ù²è·Ó°·µÄ²â¶¨Öµ³öÏÖ¼ÙÐÔÔö¸ß¡£ÑªÇå¼îÐÔÁ×Ëáø¡¢µ¨ºìËØ¡¢Ìì°±Ëá°±»ù×ªÒÆÃ¸ºÍÃŶ¬°±Ëá°±»ù×ªÒÆÃ¸µÄ²â¶¨Öµ¾ù¿ÉÄÜÔö¸ß¡£

¡¾Ôи¾¼°²¸ÈéÆÚ¸¾Å®ÓÃÒ©¡¿

1.±¾Æ·¿Éͨ¹ýÌ¥Å̶ø½øÈëÌ¥¶ùÑ­»·£¬ÇÒÔи¾·þÓñ¾Æ·ºó³öÏָζ¾ÐÔ·´Ó³µÄ¿ÉÄÜÐÔÔö³¤£¬¹ÊÔи¾²»ÒËÀûÓá£

2.ºìÃ¹ËØÓÐÏ൱Á¿½øÈëĸÈéÖУ¬²¸ÈéÆÚ¸¾Å®ÀûÓÃʱÒËÔÝÍ£²¸Èé¡£

¡¾¶ùͯÓÃÒ©¡¿Éв»Ã÷È·

¡¾ÀÏÄêÓÃÒ©¡¿Éв»Ã÷È·

¡¾Ò©ÎïÏ໥×÷Óá¿

1.±¾Æ·¿ÉÒÖÔ쿨ÂíÎ÷ºÍÉÆ±ûÎìËáµÈ¿¹ñ²ðïÒ©µÄ´úл£¬µ¼ÖºóÕßѪҩŨ¶ÈÔö¸ß¶ø²úÉú¶¾ÐÔ·´Ó³¡£±¾Æ·Óë°¢·ÒÌ«ÄáºÏÓÿÉÒÖÔìºóÕߵĴúл£¬µ¢¸éÆä×÷Óù¦·ò¡£±¾Æ·Ó밢˾ßäßò»òÌØ·ÇÄǶ¨µÈ¿¹×é°·Ò©ºÏÓÿÉÔö³¤ÐÄÔà¶¾ÐÔ£¬Óë»·æßËØºÏÓÿÉʹºóÕßѪҩŨ¶ÈÔö³¤¶ø²úÉúÉö¶¾ÐÔ¡£

2.ÓëÂÈÃ¹ËØºÍÁÖ¿Éõ£°·ÀàÓ½¨×¿¹×÷Ó㬲»ÍƼöͬÓá£

3.±¾Æ·ÎªÒÖ¾ú¼Á£¬¿É×ÌÈÅÇàÃ¹ËØµÄɱ¾úЧÁ¦£¬¹Êµ±±ØÒª¼±¾çɱ¾ú×÷ÓÃÈçÒ½ÖÎÄÔĤÑ×ʱ£¬Á½Õß²»Ò˽áºÏÓÃÒ©¡£

4.³Ö¾Ã·þÓûª·¨ÁֵϼÕßÀûÓñ¾Æ·Ê±¿Éµ¼ÖÂÄýѪøԭ¹¦·òµ¢¸é£¬´Ó¶øÔö³¤³öѪµÄΣÏÕÐÔ£¬ÀÏÄ겡ÈËÓÅצ°ÑÎÈ¡£Á½Õß±ØÐëͬÓÃʱ£¬»ª·¨ÁֵļÁÁ¿ÒËÊʵ±µ÷Õû£¬²¢çÇÃܹ۲ìÄýѪøԭ¹¦·ò¡£

5.³ý¶þôDZû²è¼î±í£¬±¾Æ·Óë»ÆàÑßÊÀàºÏÓÿÉʹ°±²è¼îµÄ¸Î¶Ï¸ùÏ÷¼õ£¬µ¼ÖÂѪÇå°±²è¼îŨ¶ÈÉý¸ßºÍ£¨»ò£©¶¾ÐÔ·´Ó³Ôö³¤¡£ÕâÒ»¾°ÏóÔÚºÏÓÃ6ÈÕºó½ÏÒײúÉú£¬°±²è¼î¶Ï¸ùµÄÏ÷¼õ·ù¶Å×뱾ƷѪ·åÖµ³ÉÕý±È¡£Òò¶øÔÚÁ½ÕߺÏÓÃÁƳÌÖкÍÁƳ̺󣬻ÆàÑßÊÀàµÄ¼ÁÁ¿Ó¦Óèµ÷Õû¡£

6.ÓëÆäËû¸Î¶¾ÐÔÒ©ÎïºÏÓÿÉÄܼÓÇ¿¸Î¶¾ÐÔ¡£

7.´ó¼ÁÁ¿±¾Æ·Óë¶ú¶¾ÐÔÒ©ÎïºÏÓã¬ÓÈÆäÉöÖ°ÄܼõÍË»¼Õß¿ÉÄÜÔö³¤¶ú¶¾ÐÔ¡£

8.ÓëÂå·¥ËûÍ¡ºÏÓÃʱ¿ÉÒÖÔìÆä´úл¶øÊ¹ÑªÅ¨¶ÈÉÏÉý£¬¿ÉÄÜÒýÆðºáÎÆ¼¡ÈÜ»¯£¬Óëßä´ïßòÂØ»òÈýßòÂØºÏÓÃʱ¿ÉÏ÷¼õ¶þÕߵĶϸù¶ø¼ÓÇ¿Æä×÷Óá£

¡¾Ò©Îï¹ýÁ¿¡¿

Ӧʵʱͣҩ´ÍÓë¶ÔÖ¢ºÍÖ§³ÖÒ½ÖΡ£Ñª»ò¸¹Ä¤Í¸Îöºó¼«ÉÙ±»½â³ý¡£

¡¾Ò©Àí¶¾Àí¡¿

±¾Æ·Êô´ó»·ÄÚõ¥À࿹ÉúËØ£¬ÎªºìÃ¹ËØ±ûËáõ¥µÄÊ®¶þÍé»ùÁòËáÑΣ¬¶ÔÆÏÌÑÇò¾úÊô¡¢¸÷×éÁ´Çò¾úºÍ¸ïÀ¼ÑôÐԸ˾ú¾ù¾ß¿¹¾ú»îÐÔ¡£ÄÎɪ¾úÊô¡¢Á÷¸ÐÊÈѪ¸Ë¾ú¡¢°ÙÈտȱ«ÌØÊϾúµÈÒ²¿É¶Ô±¾Æ·³öÏÖÃô¸Ð¡£±¾Æ·¶Ô³ý´àÈõÄâ¸Ë¾úºÍËó¸Ë¾úÊôÒÔ±íµÄ¸÷ÀàÑáÑõ¾úÒà¾ß¿¹¾ú»îÐÔ£»¶ÌÚüÍžúÊô¡¢Ì¥¶ùÍäÇú¾ú¡¢Ä³Ð©ÂÝÐýÌå¡¢·ÎÑ×Ö§Ô­Ìå¡¢Á¢¿Ë´ÎÌåÊôºÍÒÂÔ­ÌåÊôÒ²ÓÐÒÖÔì×÷Óᣱ¾Æ·ÏµÒÖ¾ú¼Á£¬µ«ÔÚ¸ßŨ¶Èʱ¶ÔijЩϸ¾úÒ²¾ßɱ¾ú×÷Óᣱ¾Æ·¿É͸¹ýϸ¾úϸ°ûĤ£¬ÔÚ¿¿½ü¹©Î»£¨"P"룩´¦Óëϸ¾úºËÌÇÌåµÄ50SÑÇ»ù³É¿ÉÄæÐÔ½áºÏ£¬×è¶ÏÁË×ªÒÆºËÌǺËËᣨt-RNA£©½áºÏÖÁ"P"λÉÏ£¬Í¬Ê±Ò²×è¶ÏÁ˶àëÄÁ´×ÔÊÜ루"A"룩ÖÁ"P"λµÄÎ»ÒÆ£¬Òò¶øÏ¸¾úµ°°×ÖʺϳÉÊÜÒÖÔì¡£±¾Æ·½ö¶Ô¸îÁÑ»îÔ¾µÄϸ¾úÓÐЧ¡£

¡¾Ò©´ú¶¯Á¦Ñ§¡¿

¿Õ¸¹»ò·¹ºó¿Ú·þ¶¼ºÜ¿ìÎüÊÕ£¬ÔÚθËáÖнϲ»±ä¡£µ°°×½áºÏÂÊΪ90%~99%¡ £¿Ú·þºóÔÚθ³¦Â·Öзֻ¯ÎªºìÃ¹ËØ±ûËáõ¥£¬²¿ÃÅÔÚѪҺÖÐË®½â³ÉÓÎÀëµÄºìÃ¹ËØ¶øÆð¿¹¾ú×÷Óá £¿Ú·þ0.25gºÍ0.5gµÄѪҩ·åŨ¶È£¨Cmax£©ÓÚ2Ó×ʱ´ïµ½£¬±ðÀëΪ1.4mg/LºÍ4.2mg/L¡£ÎüÊÕºó³ýÄÔ¼¹ÒººÍÄÔ×éÖ¯±í£¬¿í·ºÉ¢²¼ÓÚ¸÷×éÖ¯ºÍÌåÒºÖУ¬ÓÈÒԸΡ¢µ¨Ö­ºÍÆ¢ÖеÄŨ¶ÈΪ×î¸ß£¬ÔÚÉö¡¢·ÎµÈ×éÖ¯ÖеÄŨ¶È¿ÉÓâԽѪҩŨ¶ÈÊý±¶£¬ÔÚµ¨Ö­ÖеÄŨ¶È¿É´ïѪҩŨ¶ÈµÄ10~40±¶ÒÔÉÏ¡£ÔÚÆ¤ÏÂ×éÖ¯¡¢Ìµ¼°Ö§Æø¹ÜÅÅйÎïÖеÄŨ¶ÈÒ²½Ï¸ß£¬ÌµÖÐŨ¶Å×ëѪҩŨ¶ÈÏà·Â£»ÔÚÐØ¡¢¸¹Ë®¡¢Å§ÒºµÈÖеÄŨ¶È¿É´ïÓÐЧˮƽ¡£±¾Æ·Óп϶¨Á¿£¨Ô¼ÎªÑªÒ©Å¨¶ÈµÄ33%£©½øÈëǰÁÐÏÙ¼°¾«ÄÒÖУ¬µ«²»Ò×͸¹ýѪ-ÄÔ¼¹Òº·®À飬ÄÔĤÓÐÑ×֢ʱÄÔ¼¹ÒºÖÐŨ¶È½öΪѪҩŨ¶ÈµÄ10%×óÓÒ¡ £¿É½øÈë̥ѪºÍÅÅÈëĸÈéÖУ¬Ì¥¶ùѪҩŨ¶ÈΪĸÌåѪҩŨ¶ÈµÄ5%~20%£¬Ä¸ÈéÖÐÒ©ÎïŨ¶È¿É´ïѪҩŨ¶ÈµÄ50%ÒÔÉÏ¡£±í¹ÛÉ¢²¼ÈÝ»ý£¨Vd£©Îª0.9L/kg¡£ÓÎÀëºìÃ¹ËØÔÚ¸ÎÄÚ´úлѪ½â³ý°ëË¥ÆÚ£¨t1/2¦Â£©Îª1.4~2Ó×ʱ£¬ÎÞÄò»¼ÕßµÄѪ°ëË¥ÆÚ¿Éµ¢¸éÖÁ4.8~6Ó×ʱ¡£ÒÀ¸½ºìÃ¹ËØÖØÒªÔÚ¸ÎÖÐŨËõºÍ´Óµ¨Ö­Åųö£¬²¢½øÐг¦¸ÎÑ­»·£¬Ô¼2%~5%µÄ¿Ú·þÁ¿ºÍ10%~15%µÄ×¢ÈëÁ¿×ÔÉöÓ×ÇòÂ˹ýÅųý£¬ÄòÖÐŨ¶È¿É´ï10~100mg/L¡£·à±ãÖÐÒ²º¬Óп϶¨Á¿¡£Ñª»ò¸¹Ä¤Í¸Îöºó¼«ÉÙ±»¶Ï¸ù£¬¹Ê͸ÎöºóÎÞÐè¼ÓÓá£

¡¾Öü²Ø¡¿Õڹ⣬ÃÜ·â±£Áô¡£

¡¾°ü×°¡¿ÂÁËܰü×°¡£12Ƭ/°åx1°å/ºÐ¡£

¡¾ÓÐЧÆÚ¡¿36¸öÔÂ

¡¾Ö´Ðг߶ȡ¿¡¶ÖйúÒ©µä¡·2020Äê°æ¶þ²¿

¡¾ºË×¼Îĺš¿¹úÒ©×¼×ÖH14020393

¡¾ÉÏÊÐÐí¿É³ÖÓÐÈË¡¿

Ãû³Æ£ºÉ½Î÷rg»Ê¼ÒÊÓѶ°²ÐÀÉúÎïÔìÒ©ÓÐÏÞ¹«Ë¾

×¢²áµØÖ·£ºÉ½Î÷Ê¡½úÖÐÊÐɽÎ÷ʾ·¶Çø½úÖпª·¢Çø»ãͨ²úÒµÔ°Çø»þ³Ç·908ºÅ

¡¾³ö²úÆóÒµ¡¿

ÆóÒµÃû³Æ£ºÉ½Î÷rg»Ê¼ÒÊÓѶ°²ÐÀÉúÎïÔìÒ©ÓÐÏÞ¹«Ë¾

³ö²úµØÖ·£ºÉ½Î÷Ê¡½úÖÐÊлþ³Ç·908ºÅ£¨½úÖо­¼Ã¼¼Êõ¿ª·¢ÇøÃñÓª¿Æ¼¼Ô°£©

ÓÊÕþ±àÂ룺030600

µç»°ºÅÂ룺£¨0354£©2467981 2467966

´«ÕæºÅÂ룺£¨0354£©2467966

꿅᣼www.zdjt.com

2dafdb9f545db31b93b9930fe68f4895
ÒÀ¸½ºìÃ¹ËØÆ¬
¡¾³É¡¡¡¡·Ý¡¿±¾Æ·ÖØÒª³É·ÝÊÇÒÀ¸½ºìÃ¹ËØ
¡¾Ö°ÄÜÖ÷ÖΡ¿·ÎÑ×Ö§Ô­Ìå·ÎÑס¢·ÎÑ×ÒÂÔ­Ìå·ÎÑס£
¡¾¹æ¡¡¡¡¸ñ¡¿°´ºìÃ¹ËØ¼Æ0.125g£¨12.5Íòµ¥Ôª£©
¡¾ºË×¼Îĺš¿¹úÒ©×¼×ÖH14020393
²úÆ·×¢Ã÷

¡¾Ò©Æ·Ãû³Æ¡¿

ͨÓÃÃû³Æ£ºÒÀ¸½ºìÃ¹ËØÆ¬

Ó¢ÎÄÃû³Æ£ºErythromycinEstolateTablets

ººÓïÆ´Òô£ºYituoHongmeisuPian

¡¾³É·Ý¡¿±¾Æ·ÖØÒª³É·ÝÊÇÒÀ¸½ºìÃ¹ËØ¡£

Æä½á¹¹Ê½Îª£º

ÒÀ¸½ºìÃ¹ËØÆ¬

·Ö×Óʽ£ºC40H71NO14¡¤C12H26O4S

·Ö×ÓÁ¿£º1056.40

¡¾ÐÔ×´¡¿±¾Æ·Îª°×ɫƬ¡£

¡¾ÊÊÓ¦Ö¢¡¿1.±¾Æ·×÷ΪÇàÃ¹ËØ¹ýÃô»¼ÕßÒ½ÖÎÏÂÁÐϰȾµÄ´úÌæÓÃÒ©£ºÈÜѪÐÔÁ´Çò¾ú¡¢·ÎÑ×Á´Çò¾úµÈËùÖµļ±ÐÔ±âÌÒÌåÑס¢¼±ÐÔÑÊÑס¢±Çñ¼Ñ×£»ÈÜѪÐÔÁ´Çò¾úËùÖµÄÐɺìÈÈ¡¢·äÎÑÖ¯Ñ×£»°×ºí¼°°×ºí´ø¾úÕߣ»ÆøÐÔ»µ¾Ò¡¢Ì¿¾Ò¡¢ÆÆ¸Ð𣻷ÅÏß¾ú²¡£»Ã·¶¾£»ÀîË¹ÌØ¾ú²¡µÈ¡£2.¾üÍžú²¡¡£3.·ÎÑ×Ö§Ô­Ìå·ÎÑס£4.·ÎÑ×ÒÂÔ­Ìå·ÎÑס£5.ÆäËûÒÂÔ­ÌåÊô¡¢Ö§Ô­ÌåÊôËùÖÂÃÚÄòÉúֳϵϰȾ¡£6.ɳÑÛÒÂÔ­Ìå½áĤÑס£7.ÑáÑõ¾úËùÖ¿ÚǻϰȾ¡£8.¿Õ³¦ÍäÇú¾ú³¦Ñס£9.°ÙÈÕ¿È¡£10.·çʪÈȸ´·¢¡¢Ï°È¾ÐÔÐÄÄÚĤÑ×£¨·çʪÐÔÐÄÔಡ¡¢ÏÈÐÔ×ÓÐÄÔಡ¡¢ÐÄÔà°êĤÖû»Êõºó£©¡¢Ô¤·À¿ÚÇ»»òÉϺôÎü·ϰȾ£¨ÇàÃ¹ËØµÄ´úÌæÓÃÒ©£©¡£

¡¾¹æ¸ñ¡¿°´ºìÃ¹ËØ¼Æ0.125g£¨12.5Íòµ¥Ôª£©

¡¾Ó÷¨ÓÃÁ¿¡¿

¿Ú·þ£¬³ÉÈËÒ»ÈÕ0.75~2g£¬·Ö3~4´Î£¬¶ùͯÖðÈÕ°´Ìå³Á20~30mg/kg£¬·Ö3~4´Î¡£Ò½ÖξüÍžú²¡£¬³ÉÈËÒ»´Î0.5~1.0g£¬Ò»ÈÕ4´Î¡£Ó÷ç¸ñʪÈȸ´·¢µÄÔ¤·ÀÓÃҩʱ£¬Ò»´Î0.25g£¬Ò»ÈÕ2´Î¡£ÓÃ×÷ϰȾÐÔÐÄÄÚĤÑ×µÄÔ¤·ÀÓÃҩʱ£¬Êõǰ1Ó×ʱ¿Ú·þ1g£¬Êõºó6Ó×ʱÔÙ·þÓÃ0.5g¡£

¡¾²»Á¼·´Ó³¡¿

1.·þÓñ¾Æ·ºó²úÉú¸Î¶¾ÐÔ·´Ó³Õ߽ϷþÓÃÆäËûºìÃ¹ËØÔì¼ÁΪ¶à¼û£¬·þÒ©ÊýÈÕ»ò1~2Öܺó»¼Õ߿ɳöÏÖ·¦Á¦¡¢¶ñÐÄ¡¢Å»Í¡¢¸¹Í´¡¢Æ¤Õî¡¢·¢ÈȵÈ¡£ÓÐʱ¿É³öÏÖ»Æð㣬¸ÎÖ°ÄÜÊÔÑéÏÔʾÓÙµ¨£¬Í£Ò©ºó³ £¿É¸´Ô­¡£

2.θ³¦Â··´Ó³Óи¹Ðº¡¢¶ñÐÄ¡¢Å»Í¡¢ÖÐÉϸ¹Í´¡¢¿ÚÉàÌÛÍ´¡¢Î¸ÄɼõÍ˵È£¬Æä²úÉúÂÊÓë¼ÁÁ¿´óÓ×ÓйØ¡£

3.´ó¼ÁÁ¿£¨¡Ý4g/ÈÕ£©ÀûÓÃʱ£¬ÓÈÆä¸Î¡¢Éö¼²²¡»¼Õß»òÀÏÄ껼Õߣ¬¿ÉÄÜÒýÆðÌýÁ¦¼õÍË£¬ÖØÒªÓëѪҩŨ¶È¹ý¸ß£¨>12mg/L£©ÓйØ£¬Í£Ò©ºó´ó¶à¿É¸´Ô­¡£

4.¹ýÃô·´Ó³²û·¢ÎªÒ©ÎïÈÈ¡¢Æ¤Õî¡¢ÊÈËáÁ£Ï¸°ûÔö¶àµÈ£¬²úÉúÂÊÔ¼0.5%~1%¡£

5.ÆäËû£ºÅ¼ÓÐÐÄÂɱä̬¡¢¿ÚÇ»»òÒõ·ÏëÖé¾úϰȾ¡£

¡¾½û¼É¡¿¶ÔºìÃ¹ËØÀàÒ©Îï¹ýÃôÕß½ûÓá£

¡¾µ±¿àÖÔÏî¡¿

1.·þÓñ¾Æ·ºó³öÏÖALT¡¢AST¡¢AKP¡¢µ¨ºìËØµÈÔö¸ßÕ߽ϷþÓÃÆäËûºìÃ¹ËØÔì¼ÁΪ¶à¼û¡£

2.ÈÜѪÐÔÁ´Çò¾úϰȾÓñ¾Æ·Ò½ÖÎʱ£¬ÖÁÉÙÐè³ÖÐø10ÈÕ£¬ÒÔÔ¤·À¼±ÐÔ·çʪÈȵIJúÉú¡£

3.ÉöÖ°ÄܼõÍË»¼Õßͨ³£ÎÞÐèÏ÷¼õÓÃÁ¿¡£

4.»¼Õß¶ÔÒ»ÖÖºìÃ¹ËØÔì¼Á¹ýÃô»ò²»ÄÜÄÍÊÜʱ£¬¶Ô±¾Æ·Ò²¿É¹ýÃô»ò²»ÄÜÄÍÊÜ¡£

5.ÂýÐԸβ¡¡¢¸ÎÖ°ÄÜÇÖº¦ÕßÉ÷Óá£

6.Òò·ÖÆçϸ¾ú¶ÔºìÃ¹ËØµÄÃô¸ÐÐÔ´æÔڿ϶¨²î¾à£¬¹ÊÓ¦×öÒ©Ãô²â¶¨¡£

7.¶ÔÕï¶ÏµÄ×ÌÈÅ£ººìÃ¹ËØ¿É×ÌÈÅHigerty·¨µÄÓ«¹â²â¶¨£¬Ê¹Äò¶ù²è·Ó°·µÄ²â¶¨Öµ³öÏÖ¼ÙÐÔÔö¸ß¡£ÑªÇå¼îÐÔÁ×Ëáø¡¢µ¨ºìËØ¡¢Ìì°±Ëá°±»ù×ªÒÆÃ¸ºÍÃŶ¬°±Ëá°±»ù×ªÒÆÃ¸µÄ²â¶¨Öµ¾ù¿ÉÄÜÔö¸ß¡£

¡¾Ôи¾¼°²¸ÈéÆÚ¸¾Å®ÓÃÒ©¡¿

1.±¾Æ·¿Éͨ¹ýÌ¥Å̶ø½øÈëÌ¥¶ùÑ­»·£¬ÇÒÔи¾·þÓñ¾Æ·ºó³öÏָζ¾ÐÔ·´Ó³µÄ¿ÉÄÜÐÔÔö³¤£¬¹ÊÔи¾²»ÒËÀûÓá£

2.ºìÃ¹ËØÓÐÏ൱Á¿½øÈëĸÈéÖУ¬²¸ÈéÆÚ¸¾Å®ÀûÓÃʱÒËÔÝÍ£²¸Èé¡£

¡¾¶ùͯÓÃÒ©¡¿Éв»Ã÷È·

¡¾ÀÏÄêÓÃÒ©¡¿Éв»Ã÷È·

¡¾Ò©ÎïÏ໥×÷Óá¿

1.±¾Æ·¿ÉÒÖÔ쿨ÂíÎ÷ºÍÉÆ±ûÎìËáµÈ¿¹ñ²ðïÒ©µÄ´úл£¬µ¼ÖºóÕßѪҩŨ¶ÈÔö¸ß¶ø²úÉú¶¾ÐÔ·´Ó³¡£±¾Æ·Óë°¢·ÒÌ«ÄáºÏÓÿÉÒÖÔìºóÕߵĴúл£¬µ¢¸éÆä×÷Óù¦·ò¡£±¾Æ·Ó밢˾ßäßò»òÌØ·ÇÄǶ¨µÈ¿¹×é°·Ò©ºÏÓÿÉÔö³¤ÐÄÔà¶¾ÐÔ£¬Óë»·æßËØºÏÓÿÉʹºóÕßѪҩŨ¶ÈÔö³¤¶ø²úÉúÉö¶¾ÐÔ¡£

2.ÓëÂÈÃ¹ËØºÍÁÖ¿Éõ£°·ÀàÓ½¨×¿¹×÷Ó㬲»ÍƼöͬÓá£

3.±¾Æ·ÎªÒÖ¾ú¼Á£¬¿É×ÌÈÅÇàÃ¹ËØµÄɱ¾úЧÁ¦£¬¹Êµ±±ØÒª¼±¾çɱ¾ú×÷ÓÃÈçÒ½ÖÎÄÔĤÑ×ʱ£¬Á½Õß²»Ò˽áºÏÓÃÒ©¡£

4.³Ö¾Ã·þÓûª·¨ÁֵϼÕßÀûÓñ¾Æ·Ê±¿Éµ¼ÖÂÄýѪøԭ¹¦·òµ¢¸é£¬´Ó¶øÔö³¤³öѪµÄΣÏÕÐÔ£¬ÀÏÄ겡ÈËÓÅצ°ÑÎÈ¡£Á½Õß±ØÐëͬÓÃʱ£¬»ª·¨ÁֵļÁÁ¿ÒËÊʵ±µ÷Õû£¬²¢çÇÃܹ۲ìÄýѪøԭ¹¦·ò¡£

5.³ý¶þôDZû²è¼î±í£¬±¾Æ·Óë»ÆàÑßÊÀàºÏÓÿÉʹ°±²è¼îµÄ¸Î¶Ï¸ùÏ÷¼õ£¬µ¼ÖÂѪÇå°±²è¼îŨ¶ÈÉý¸ßºÍ£¨»ò£©¶¾ÐÔ·´Ó³Ôö³¤¡£ÕâÒ»¾°ÏóÔÚºÏÓÃ6ÈÕºó½ÏÒײúÉú£¬°±²è¼î¶Ï¸ùµÄÏ÷¼õ·ù¶Å×뱾ƷѪ·åÖµ³ÉÕý±È¡£Òò¶øÔÚÁ½ÕߺÏÓÃÁƳÌÖкÍÁƳ̺󣬻ÆàÑßÊÀàµÄ¼ÁÁ¿Ó¦Óèµ÷Õû¡£

6.ÓëÆäËû¸Î¶¾ÐÔÒ©ÎïºÏÓÿÉÄܼÓÇ¿¸Î¶¾ÐÔ¡£

7.´ó¼ÁÁ¿±¾Æ·Óë¶ú¶¾ÐÔÒ©ÎïºÏÓã¬ÓÈÆäÉöÖ°ÄܼõÍË»¼Õß¿ÉÄÜÔö³¤¶ú¶¾ÐÔ¡£

8.ÓëÂå·¥ËûÍ¡ºÏÓÃʱ¿ÉÒÖÔìÆä´úл¶øÊ¹ÑªÅ¨¶ÈÉÏÉý£¬¿ÉÄÜÒýÆðºáÎÆ¼¡ÈÜ»¯£¬Óëßä´ïßòÂØ»òÈýßòÂØºÏÓÃʱ¿ÉÏ÷¼õ¶þÕߵĶϸù¶ø¼ÓÇ¿Æä×÷Óá£

¡¾Ò©Îï¹ýÁ¿¡¿

Ӧʵʱͣҩ´ÍÓë¶ÔÖ¢ºÍÖ§³ÖÒ½ÖΡ£Ñª»ò¸¹Ä¤Í¸Îöºó¼«ÉÙ±»½â³ý¡£

¡¾Ò©Àí¶¾Àí¡¿

±¾Æ·Êô´ó»·ÄÚõ¥À࿹ÉúËØ£¬ÎªºìÃ¹ËØ±ûËáõ¥µÄÊ®¶þÍé»ùÁòËáÑΣ¬¶ÔÆÏÌÑÇò¾úÊô¡¢¸÷×éÁ´Çò¾úºÍ¸ïÀ¼ÑôÐԸ˾ú¾ù¾ß¿¹¾ú»îÐÔ¡£ÄÎɪ¾úÊô¡¢Á÷¸ÐÊÈѪ¸Ë¾ú¡¢°ÙÈտȱ«ÌØÊϾúµÈÒ²¿É¶Ô±¾Æ·³öÏÖÃô¸Ð¡£±¾Æ·¶Ô³ý´àÈõÄâ¸Ë¾úºÍËó¸Ë¾úÊôÒÔ±íµÄ¸÷ÀàÑáÑõ¾úÒà¾ß¿¹¾ú»îÐÔ£»¶ÌÚüÍžúÊô¡¢Ì¥¶ùÍäÇú¾ú¡¢Ä³Ð©ÂÝÐýÌå¡¢·ÎÑ×Ö§Ô­Ìå¡¢Á¢¿Ë´ÎÌåÊôºÍÒÂÔ­ÌåÊôÒ²ÓÐÒÖÔì×÷Óᣱ¾Æ·ÏµÒÖ¾ú¼Á£¬µ«ÔÚ¸ßŨ¶Èʱ¶ÔijЩϸ¾úÒ²¾ßɱ¾ú×÷Óᣱ¾Æ·¿É͸¹ýϸ¾úϸ°ûĤ£¬ÔÚ¿¿½ü¹©Î»£¨"P"룩´¦Óëϸ¾úºËÌÇÌåµÄ50SÑÇ»ù³É¿ÉÄæÐÔ½áºÏ£¬×è¶ÏÁË×ªÒÆºËÌǺËËᣨt-RNA£©½áºÏÖÁ"P"λÉÏ£¬Í¬Ê±Ò²×è¶ÏÁ˶àëÄÁ´×ÔÊÜ루"A"룩ÖÁ"P"λµÄÎ»ÒÆ£¬Òò¶øÏ¸¾úµ°°×ÖʺϳÉÊÜÒÖÔì¡£±¾Æ·½ö¶Ô¸îÁÑ»îÔ¾µÄϸ¾úÓÐЧ¡£

¡¾Ò©´ú¶¯Á¦Ñ§¡¿

¿Õ¸¹»ò·¹ºó¿Ú·þ¶¼ºÜ¿ìÎüÊÕ£¬ÔÚθËáÖнϲ»±ä¡£µ°°×½áºÏÂÊΪ90%~99%¡ £¿Ú·þºóÔÚθ³¦Â·Öзֻ¯ÎªºìÃ¹ËØ±ûËáõ¥£¬²¿ÃÅÔÚѪҺÖÐË®½â³ÉÓÎÀëµÄºìÃ¹ËØ¶øÆð¿¹¾ú×÷Óá £¿Ú·þ0.25gºÍ0.5gµÄѪҩ·åŨ¶È£¨Cmax£©ÓÚ2Ó×ʱ´ïµ½£¬±ðÀëΪ1.4mg/LºÍ4.2mg/L¡£ÎüÊÕºó³ýÄÔ¼¹ÒººÍÄÔ×éÖ¯±í£¬¿í·ºÉ¢²¼ÓÚ¸÷×éÖ¯ºÍÌåÒºÖУ¬ÓÈÒԸΡ¢µ¨Ö­ºÍÆ¢ÖеÄŨ¶ÈΪ×î¸ß£¬ÔÚÉö¡¢·ÎµÈ×éÖ¯ÖеÄŨ¶È¿ÉÓâԽѪҩŨ¶ÈÊý±¶£¬ÔÚµ¨Ö­ÖеÄŨ¶È¿É´ïѪҩŨ¶ÈµÄ10~40±¶ÒÔÉÏ¡£ÔÚÆ¤ÏÂ×éÖ¯¡¢Ìµ¼°Ö§Æø¹ÜÅÅйÎïÖеÄŨ¶ÈÒ²½Ï¸ß£¬ÌµÖÐŨ¶Å×ëѪҩŨ¶ÈÏà·Â£»ÔÚÐØ¡¢¸¹Ë®¡¢Å§ÒºµÈÖеÄŨ¶È¿É´ïÓÐЧˮƽ¡£±¾Æ·Óп϶¨Á¿£¨Ô¼ÎªÑªÒ©Å¨¶ÈµÄ33%£©½øÈëǰÁÐÏÙ¼°¾«ÄÒÖУ¬µ«²»Ò×͸¹ýѪ-ÄÔ¼¹Òº·®À飬ÄÔĤÓÐÑ×֢ʱÄÔ¼¹ÒºÖÐŨ¶È½öΪѪҩŨ¶ÈµÄ10%×óÓÒ¡ £¿É½øÈë̥ѪºÍÅÅÈëĸÈéÖУ¬Ì¥¶ùѪҩŨ¶ÈΪĸÌåѪҩŨ¶ÈµÄ5%~20%£¬Ä¸ÈéÖÐÒ©ÎïŨ¶È¿É´ïѪҩŨ¶ÈµÄ50%ÒÔÉÏ¡£±í¹ÛÉ¢²¼ÈÝ»ý£¨Vd£©Îª0.9L/kg¡£ÓÎÀëºìÃ¹ËØÔÚ¸ÎÄÚ´úлѪ½â³ý°ëË¥ÆÚ£¨t1/2¦Â£©Îª1.4~2Ó×ʱ£¬ÎÞÄò»¼ÕßµÄѪ°ëË¥ÆÚ¿Éµ¢¸éÖÁ4.8~6Ó×ʱ¡£ÒÀ¸½ºìÃ¹ËØÖØÒªÔÚ¸ÎÖÐŨËõºÍ´Óµ¨Ö­Åųö£¬²¢½øÐг¦¸ÎÑ­»·£¬Ô¼2%~5%µÄ¿Ú·þÁ¿ºÍ10%~15%µÄ×¢ÈëÁ¿×ÔÉöÓ×ÇòÂ˹ýÅųý£¬ÄòÖÐŨ¶È¿É´ï10~100mg/L¡£·à±ãÖÐÒ²º¬Óп϶¨Á¿¡£Ñª»ò¸¹Ä¤Í¸Îöºó¼«ÉÙ±»¶Ï¸ù£¬¹Ê͸ÎöºóÎÞÐè¼ÓÓá£

¡¾Öü²Ø¡¿Õڹ⣬ÃÜ·â±£Áô¡£

¡¾°ü×°¡¿ÂÁËܰü×°¡£12Ƭ/°åx1°å/ºÐ¡£

¡¾ÓÐЧÆÚ¡¿36¸öÔÂ

¡¾Ö´Ðг߶ȡ¿¡¶ÖйúÒ©µä¡·2020Äê°æ¶þ²¿

¡¾ºË×¼Îĺš¿¹úÒ©×¼×ÖH14020393

¡¾ÉÏÊÐÐí¿É³ÖÓÐÈË¡¿

Ãû³Æ£ºÉ½Î÷rg»Ê¼ÒÊÓѶ°²ÐÀÉúÎïÔìÒ©ÓÐÏÞ¹«Ë¾

×¢²áµØÖ·£ºÉ½Î÷Ê¡½úÖÐÊÐɽÎ÷ʾ·¶Çø½úÖпª·¢Çø»ãͨ²úÒµÔ°Çø»þ³Ç·908ºÅ

¡¾³ö²úÆóÒµ¡¿

ÆóÒµÃû³Æ£ºÉ½Î÷rg»Ê¼ÒÊÓѶ°²ÐÀÉúÎïÔìÒ©ÓÐÏÞ¹«Ë¾

³ö²úµØÖ·£ºÉ½Î÷Ê¡½úÖÐÊлþ³Ç·908ºÅ£¨½úÖо­¼Ã¼¼Êõ¿ª·¢ÇøÃñÓª¿Æ¼¼Ô°£©

ÓÊÕþ±àÂ룺030600

µç»°ºÅÂ룺£¨0354£©2467981 2467966

´«ÕæºÅÂ룺£¨0354£©2467966

꿅᣼www.zdjt.com